Open Rails Physik
Die Open-Rails-Physik befindet sich in einem fortgeschrittenen Entwicklungsstadium. Die physikalische Struktur ist in logische Klassen unterteilt; Generischere Klassen sind übergeordnete Klassen, spezialisiertere Klassen erben Eigenschaften und Methoden ihrer übergeordneten Klasse. Daher gilt die Beschreibung für die Physik von Eisenbahnwaggons auch für Lokomotiven (da eine Lokomotive ein Sonderfall eines Eisenbahnwaggons ist). Alle Parameter werden in der .wag- oder .eng-Datei definiert. Die Definition basiert auf dem MSTS-Dateiformat und einigen zusätzlichen ORTS-basierten Parametern. Um mögliche Konflikte in MSTS zu vermeiden, wird das ORTS-Präfix zu jedem OpenRails-spezifischen Parameter hinzugefügt (z. B. ORTSMaxTractiveForceCurves).
Die .wag- oder .eng-Datei kann wie in MSTS im Ordner TRAINS\TRAINSET\TrainCar\ abgelegt werden (wobei TrainCar der Name des Waggonordners ist). Wenn OR-spezifische Parameter verwendet werden oder wenn unterschiedliche .wag- oder .eng-Dateien für MSTS und OR verwendet werden, besteht die bevorzugte Lösung darin, die OR-spezifische .wag- oder .eng-Datei in einem erstellten Ordner TRAINS\TRAINSET\TrainCar\ zu platzieren. OpenRails\ (weitere Informationen finden Sie hier).
Eine vollständige Liste der Parameter finden Sie unter Entwickeln von OR-Inhalten – Parameter und Kürzel
8.1 Waggons (WAG oder Wagon Teil der ENG-Datei)
Das Verhalten eines Waggons wird hauptsächlich durch einen Widerstand bzw. eine Widerstandskraft (eine Kraft, die zum Ziehen eines Waggons erforderlich ist) definiert. Zur Physik des Zugwagens gehören auch das Durchhängen der Kupplungen und das Bremsen. In der folgenden Beschreibung wird der Wagon-Abschnitt der WAG/ENG-Datei besprochen.
8.1.1 Widerstandskräfte
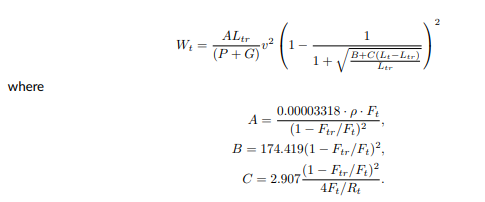
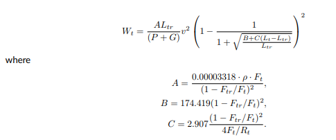
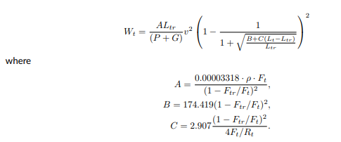
Die Open-Rails-Physik berechnet den Widerstand basierend auf der realen Physik: Schwerkraft, Masse, Rollwiderstand und optional Kurvenwiderstand. Dieser wird für jeden Wagen im Zug individuell berechnet. Das Programm berechnet den Rollwiderstand oder die Reibung basierend auf den Reibungsparametern im Abschnitt „Wagon“ der Datei .wag/.eng. Open Rails identifiziert, ob die .wag-Datei das FCalc-Dienstprogramm oder andere Reibungsdaten verwendet. Wenn FCalc zur Bestimmung der Reibungsvariablen in der .wag-Datei verwendet wurde, vergleicht Open Rails diese Daten mit den Open Rails Davis-Gleichungen, um die beste Übereinstimmung mit der Open Rails Davis-Gleichung zu ermitteln. Wenn in der .wag-Datei keine FCalc-Reibungsparameter verwendet werden, ignoriert Open Rails diese Werte und ersetzt den Waggon durch die tatsächlichen Davis-Gleichungswerte.
Eine grundlegende (vereinfachte) Davis-Formel wird in der folgenden Form verwendet:
Fres = ORTSDavis_A + speedMpS * (ORTSDavis_B + ORTSDavis_C * speedMpS²)
Wobei Fres die Reibungskraft des Autos ist. Der Rollwiderstand kann entweder durch die Komponenten FCalc oder ORTSDavis_A, _B und _C definiert werden. Wenn eine der ORTSDavis-Komponenten Null ist, wird FCalc verwendet. Daher ist z.B. Wenn die Daten den B-Teil der Davis-Formel nicht enthalten, sollte anstelle von Null eine sehr kleine Zahl verwendet werden.
Beim ersten Anfahren eines Zuges ist zusätzliche Kraft erforderlich, um das anfänglich höhere Lagerdrehmoment (Kräfte) und den Gleiswiderstand zu überwinden. Der Anfahrwiderstand wird von Open Rails automatisch auf der Grundlage empirischer prototypischer Daten bei niedrigen Geschwindigkeiten berechnet. Durch Auswahl unterschiedlicher Werte für ORTSBearingType werden unterschiedliche Werte des Startwiderstands angewendet. Die Open Rails-Berechnung des Anfahrwiderstands berücksichtigt verschiedene Bedingungen wie Wetter (z. B. Schneefall oder klare Sicht), Wagenlast (Achslast), Radlagertemperatur und Raddurchmesser. Daher sollten bei Verwendung der OR-Berechnung die korrekten Werte in den Parameter ORTSNumberAxles im Abschnitt Wagon und in ORTSNumberDriveAxles im Abschnitt Engine eingefügt werden. Der WheelRadius-Wert sollte gegebenenfalls auch in beide Abschnitte eingefügt werden.
Alternativ kann die Reibungskraft bei niedriger Geschwindigkeit vom Benutzer manuell durch Festlegen von ORTSStandstillFriction und ORTSMergeSpeed festgelegt werden.
Wenn Sie in einer Kurve fahren und die Option „Kurvenabhängiger Widerstand“ aktiviert ist, wird der zusätzliche Widerstand basierend auf dem Kurvenradius, dem starren Radstand, der Spurweite und der Überhöhung berechnet. Der Kurvenwiderstand hat seinen niedrigsten Wert bei optimaler Kurvengeschwindigkeit. Das Fahren mit höherer oder niedrigerer Geschwindigkeit führt zu einem höheren Kurvenwiderstand. Die schlimmste Situation ist das Anfahren eines Zuges aus dem Stand heraus. Der Spurweitenwert kann über den Parameter ORTSTrackGauge eingestellt werden, andernfalls wird 1435 mm verwendet. Der starre Radstand kann auch durch ORTSRigidWheelBase eingestellt werden, andernfalls wird der Wert geschätzt. Weitere Details werden später besprochen.
Beim Fahren am Hang (bergauf oder bergab) wird der zusätzliche Widerstand basierend auf der Fahrzeugmasse unter Berücksichtigung der Höhe des Fahrzeugs selbst berechnet. Die Interaktion mit der Vibrationsfunktion des Autos ist ein bekanntes Problem (wenn das Auto vibriert, schwankt der Widerstandswert).
8.1.2 Kupplungsspiel
Die Schlaffwirkung für Kupplungen wird auf die gleiche Weise wie in MSTS eingeführt und berechnet.
8.1.3 Heiße Radlager
Open Rails (OR) hat stattdessen ein repräsentatives Lagerwärmemodell verwendet, um die typischen Ergebnisse für Erwärmungs- oder Kühleffekte der Lagertemperatur zu simulieren.
• Das Lager erwärmt sich und kühlt ab, wenn der Zug fährt und anhält.
• Der Lagerwiderstand ist bei kaltem Wetter deutlich höher als bei „normaler“ Betriebstemperatur des Lagers. Typischerweise haben sich Eisenbahnunternehmen dafür entschieden, die Auslastung ihrer Züge bei kalten Bedingungen zu reduzieren. Das OR-Modell verringert den Fahrzeugwiderstand, wenn sich das Lager erwärmt, und erhöht den Widerstand, wenn das Lager abkühlt.
• OR verfügt über ein eingebautes Temperaturmodell zur Bestimmung der Umgebungstemperatur. Die Umgebungstemperatur wird auf der Grundlage eines Weltmodells der Durchschnittstemperaturen in verschiedenen Breitengraden berechnet. ODER verwendet den Breitengrad der Route, um die Umgebungstemperatur zu berechnen. Da mit der Höhe über dem Meeresspiegel auch die Umgebungstemperatur abnimmt, berücksichtigt OR dies ebenfalls und variiert die Temperatur entsprechend.
• Abhängig von der Einstellung „ActivityRandomizationLevel“ im Optionsmenü kann ein überhitztes Lager (Hotbox) auf jedem nachfolgenden Wagen im Zug zufällig initialisiert werden (Lokomotiven und Tender sind von überhitzten Lagern ausgenommen). Die Hotbox wird innerhalb der ersten 66 % der Aktivitätsdauer zufällig aktiviert. So wird beispielsweise bei einer Aktivität mit einer Dauer von 20 Minuten eine Hotbox nur in den ersten 12 Minuten der Aktivität aktiviert, wenn sie initialisiert wurde. Ein spezieller Raucheffekt, BearingHotboxFX, kann neben der Waggon-Hotbox hinzugefügt werden. Dies wird ausgelöst, wenn das Lager überhitzt.
8.1.4 Entgleisungskoeffizient
Der Entgleisungskoeffizient gibt die Wahrscheinlichkeit an, mit der ein Wagen oder Waggon entgleist, und ist das Verhältnis der auf den Waggon wirkenden Seitenkraft zur Vertikalkraft. Dieses Konzept wurde zuerst von Nadal vorgeschlagen.
Je höher der Koeffizient, desto höher ist das Risiko einer Entgleisung. Die meisten Eisenbahnunternehmen neigen dazu, mit einem Koeffizientenwert von weniger als 0,8 zu arbeiten, da dies eine wünschenswerte Sicherheitsmarge für den Wagen bietet.
Der ODER berechnete Entgleisungskoeffizient wird im Force Information HuD angezeigt. Der Koeffizientenwert ändert seine Farbe, um die Wahrscheinlichkeit einer Entgleisung des Wagens anzuzeigen. Weiß weist auf einen normalen Betrieb hin, Gelb gibt einen Warnhinweis und Rot weist darauf hin, dass eine Entgleisung äußerst wahrscheinlich ist.
Open Rails verwendet einige Standardvorgaben zur Berechnung des Entgleisungskoeffizienten. Wenn der Modellierer jedoch eine höhere Genauigkeit wünscht, können der WAG/ENG-Datei im Waggonabschnitt die folgenden Parameter hinzugefügt werden:
ORTSLengthBogieCentre – Länge zwischen Drehgestellmitten.
ORTSLengthCarBody – Länge zwischen den Wagenenden (normalerweise gemessen zwischen den Drehpunkten der Kupplung).
ORTSLengthCouplerFace – Länge zwischen Kopplerflächen.
ORTSNumberAxles – Anzahl der Achsen am Auto.
ORTSNumberDriveAxles – Anzahl der angetriebenen Achsen der Lokomotive. Hinweis: Die Gesamtzahl der Achsen der Lokomotive beträgt ORTSNumberAxles + ORTSNumberDriveAxles.
ORTSNumberBogies – Anzahl der Drehgestelle auf dem Wagen.
8.1.5 Haftung von Lokomotiven – Einstellungen im Wagon-Bereich von ENG-Dateien
MSTS berechnet die Adhäsionsparameter auf der Grundlage eines sehr seltsamen Parametersatzes, der mit einem noch seltsameren Wertebereich gefüllt ist. Da ORTS die MSTS-Berechnung nicht nachahmen kann, wird bei einigen bekannten Problemen bei der Verwendung mit MSTS-Inhalten eine Standardmethode basierend auf der Adhäsionstheorie verwendet.
MSTS-Adheasion-Parameter (sic!) werden in ORTS nicht verwendet. Stattdessen wird ein neuer Parametersatz verwendet, der in den Wagon-Abschnitt der .ENG-Datei eingefügt werden muss:
ORTSAdhesion (ORTSCurtius_Kniffler (A B C D))
Die A-, B- und C-Werte sind Koeffizienten einer Standardform verschiedener empirischer Formeln, z. Curtius-Kniffler oder Kother. Der D-Parameter wird im später beschriebenen erweiterten Adhäsionsmodell verwendet.
Aus A, B und C wird ein Koeffizient CK berechnet, und die Adhäsionskraftgrenze wird dann durch Multiplikation von CK mit der Fahrzeugmasse und der Erdbeschleunigung (9.81) berechnet, wie später näher erläutert wird.
Die Kraftschlussgrenze wird nur im Kraftschlussmodell von Lokomotiven berücksichtigt.
Das Adhäsionsmodell wird auf zwei Arten berechnet. Das erste Modell – das einfache Adhäsionsmodell – basiert auf einer sehr einfachen Schwellenwertbedingung und funktioniert ähnlich wie das MSTS-Adhäsionsmodell. Das zweite Modell – das erweiterte Adhäsionsmodell – ist ein dynamisches Modell, das die realen Bedingungen bei einem Rad-Schiene-Kontakt simuliert und später beschrieben wird. Das erweiterte Adhäsionsmodell verwendet einige zusätzliche Parameter wie:
ORTSAdhesion (ORTSSlipWarningThreshold (T))
wobei T der Radschlupfprozentsatz ist, der als Warnwert betrachtet wird, der dem Fahrer angezeigt wird; Und:
ORTSAdhesion( Radsatz (Achse (ORTSInertia (Inertia))))
Dabei ist Trägheit die Modellträgheit in kg.m2 und kann eingestellt werden, um die Dynamik des erweiterten Adhäsionsmodells anzupassen. Der Wert berücksichtigt die Trägheit aller Achsen und Fahrantriebe. Wenn nicht festgelegt, wird der Wert anhand der Masse der Lokomotive und der maximalen Leistung geschätzt.
Das erste Modell – einfaches Adhäsionsmodell – ist eine einfache, auf dem Zugkraftzustand basierende Berechnung. Erreicht die Zugkraft ihr tatsächliches Maximum, wird der Radschlupf in der HUD-Ansicht angezeigt und die Zugkraft sinkt auf 10 % des vorherigen Wertes. Durch Reduzieren der Drosselklappenstellung wird die Einhaltung wiedererlangt. Dies wird als einfaches Adhäsionsmodell bezeichnet.
Das zweite Adhäsionsmodell (Advanced Adhäsionsmodell) basiert auf einer vereinfachten dynamischen Adhäsionstheorie. Kurz gesagt, es besteht immer ein gewisser Geschwindigkeitsunterschied zwischen der Radgeschwindigkeit der Lokomotive und der Längsgeschwindigkeit des Zuges, wenn die Zugkraft ungleich Null ist. Dieser Unterschied wird Radschlupf/Radkriechen genannt. Der Haftungsstatus wird in der HUD-Ansicht „Kraftinformationen“ durch den Parameter „Radschlupf“ und als Warnung im allgemeinen Bereich der HUD-Ansicht angezeigt. Der Einfachheit halber wird nur ein Achsmodell berechnet (und animiert). Eine Neigefunktion und das unabhängige Achshaftungsmodell werden in Zukunft eingeführt.
Das Herzstück des Modells sind die Gleiteigenschaften (Bild unten).

Das Radkriechen beschreibt den stabilen Bereich der Kennlinie und wird im größten Teil der Betriebszeit verwendet. Wenn die Zugkraft das tatsächliche Maximum der Schlupfeigenschaften erreicht, sinkt der Kraftübergang und es wird mehr Leistung zur Beschleunigung der Räder aufgewendet, sogenannter Radschlupf.
Um den Verlust der Zugkraft zu vermeiden, verwenden Sie den Gashebel in Kombination mit dem Schleifen, um in den stabilen Bereich (Radkriechbereich) zurückzukehren. Ein möglicher Ablauf der Radschlupfentwicklung ist auf den folgenden Bildern dargestellt. Der Radschlupfwert wird als Wert im Verhältnis zu den besten Haftungsbedingungen für die tatsächliche Geschwindigkeit und das Wetter angezeigt. Der Wert von 63 % bedeutet einen sehr guten Kraftübergang. Bei Werten über (ORTSadhesion (ORTSSlipWarningThreshold)) oder standardmäßig 70 % wird die Radschlupfwarnung angezeigt, der Kraftübergang ist jedoch immer noch sehr gut. Diese Anzeige soll Sie warnen, den Gashebel sehr vorsichtig zu verwenden. Bei Überschreitung von 100 % wird die Meldung „Radschlupf“ angezeigt und die Räder beginnen zu beschleunigen, was auf dem Tachometer oder in der Außenansicht 2 sichtbar ist. Um den Radschlupf zu reduzieren, verwenden Sie Gaspedal, Schleifen oder die Lokbremse.



Das tatsächliche Maximum der Zugkraft basiert auf der Curtius-Kniffer-Adhäsionstheorie und kann durch die oben genannten ORTSCurtius_Kniffler-Parameter (A B C D) angepasst werden, wobei A, B, C Koeffizienten von Curtius-Kniffer, Kother oder einer ähnlichen Formel sind. Standardmäßig wird Curtius-Kniffer verwendet.

Wobei W der Wetterkoeffizient ist. Das bedeutet, dass das Maximum mit der Geschwindigkeit des Zuges oder den Wetterbedingungen zusammenhängt.
Der D-Parameter wird in einem erweiterten Adhäsionsmodell verwendet und sollte immer 0,7 betragen.
Es gibt einige zusätzliche Parameter in der HUD-Ansicht „Force Information“. Die Achse/das Rad wird durch die Achsantriebskraft angetrieben und durch die Achsbremskraft gebremst. Die Axle-Out-Kraft ist die Ausgangskraft des Adhäsionsmodells (wird zum Ziehen des Zuges verwendet). Um das Modell korrekt zu berechnen, muss die FPS-Rate durch einen Solver-Divisionswert im Bereich von 1 bis 50 dividiert werden. Standardmäßig wird der Runge-Kutta4-Solver verwendet, um die besten Ergebnisse zu erzielen.
In einigen Fällen, wenn die CPU-Last hoch ist, kann der Zeitschritt für die Berechnung sehr hoch werden und die Simulation ins Schwanken geraten (die Änderungsrate des Radschlupfs (in den Klammern) wird sehr hoch). Sie können den Befehl DebugResetWheelSlip (standardmäßig <Strg+X>) verwenden, um das Adhäsionsmodell zurückzusetzen. Wenn dieses Verhalten häufig auftritt, verwenden Sie stattdessen das grundlegende Adhäsionsmodell, indem Sie DebugToggleAdvancedAdhesion drücken (standardmäßig die Tasten <Strg+Alt+X>).
Um einigen realen Funktionen zu entsprechen, kann das Radschlupf-Ereignis dazu führen, dass die Drossel automatisch auf Null gesetzt wird. Verwenden Sie den booleschen Engine-Wert (ORTS (ORTSWheelSlipCausesThrottleDown)) der ENG-Datei.
Moderne Lokomotiven verfügen über Schlupfkontrollsysteme, die die Leistung automatisch anpassen und so für eine optimale Zugkraft sorgen und Radschlupf vermeiden. Der Parameter ORTSSlipControlSystem (Full) kann in den Engine-Abschnitt der .eng-Datei eingefügt werden, um das Vorhandensein eines solchen Systems anzuzeigen.
Dampflokomotiven haben je nach Abstand zwischen den Kurbelwinkeln der Zylinder unterschiedlich große Rotationskräfte.
Die Kurbelwinkel einer 2-Zylinder-Lokomotive haben beispielsweise einen Abstand von 90 Grad, während der Winkel einer 3-Zylinder-Lokomotive 120 Grad beträgt. OR verwendet standardmäßig einen „gemeinsamen“ Wert für die Anzahl der definierten Zylinder, der Benutzer kann dies jedoch mit „ORTSWheelCrankAngleDifference ( A B C D )“ überschreiben, wobei A, B, C und D die Abstände für bis zu 4 sind Zylinderlokomotive. Beispielsweise kann bei einer 4-Zylinder-Lokomotive jeder Zylinder einen Abstand von 90 Grad haben, manchmal sind aber auch zwei der Kurbeln um 45 Grad voneinander entfernt. Diese Werte können entweder in Rad (Standard) oder Grad angegeben werden. Die Abstände sollten um die volle Drehung von 360 Grad herum beschrieben werden, so wäre beispielsweise eine 3-Zylinder-Lokomotive - ORTSWheelCrankAngleDi erence (0 Grad, 120 Grad, 240 Grad).
8.2 Motor – Antriebsarten
Die Open-Rails-Software bietet verschiedene Antriebsarten: Diesel, Elektro, Dampf, Steuerung und Standard. Bei Bedarf können zusätzliche Klassen mit einzigartigen Leistungsmerkmalen erstellt werden.
8.2.1 Brennkraftlokomotiven
Brennkraftlokomotiven im Allgemeinen
Das Brennkraftlokomotivmodell in ORTS simuliert das Verhalten von zwei Grundtypen von Brennkraftlokomotiven – dieselelektrische und dieselmechanische. Das Modell des Motors ist für beide Typen gleich, verhält sich jedoch aufgrund der unterschiedlichen Belastungsart unterschiedlich. Grundlegende Bedienelemente (Richtung, Gas und Bremsen) sind in allen Motorklassen gleich. Motoren können durch Drücken der START/STOP-Taste (<Umschalt+Z> auf englischen Tastaturen) gestartet oder gestoppt werden. Die Start- und Stoppsequenz wird von einer Starterlogik gesteuert, die individuell angepasst werden kann oder anhand der Motorparameter geschätzt wird.
Die dieselelektrische Lokomotive verwendet einem Motor, um Strom zu erzeugen (natürlich unter Verwendung von Generatoren), und dieser Strom wird dann zum Antrieb von Fahrmotoren verwendet, um die Räder anzutreiben. Die anderen Arten von Brennkraftlokomotiven sind insofern ähnlich, als sie über einen Motor und dann über eine Art Übertragungsmechanismus verfügen, um die Leistungsabgabe der Antriebsmaschine auf die Räder der Lokomotive zu übertragen.
Um die Lokomotive richtig einzustellen, ist es wichtig, die richtigen Leistungs-/Kraftwerte zu verwenden. Die in der ENG-Datei für eine Brennkraftlokomotive erforderlichen Schlüsselwerte (unabhängig vom Getriebetyp) lauten wie folgt: ORTSDieselEngineMaxPower ==> legt die maximale Leistungsabgabe an der Welle des Motors (oder der Antriebsmaschine) fest.
MaxPower ==> legt die maximale Leistung an der Schiene fest (bereitgestellt für die Räder).
MaxForce ==> legt die Kraft fest, die die Lokomotive beim Anfahren auf die Räder ausüben kann.
MaxContinuousForce ==> ist die maximale Kraft, die die Lokomotive kontinuierlich auf die Räder übertragen kann, ohne die Konstruktionsspezifikationen zu überschreiten. Typischerweise ist dies an eine bestimmte Geschwindigkeit gekoppelt (siehe nächster Parameter).
ORTSSpeedOfMaxContinuousForce ==> ist die Geschwindigkeit, mit der die maximale Kraft ausgeübt wird.
MaxVelocity ==> ist die maximale Nenngeschwindigkeit der Lokomotive. Einige Lokomotiven verfügten über einen Geschwindigkeitsalarm, der die Bremsen betätigte oder den Gashebel auf einen niedrigeren Wert einstellte. Dies kann mit der OverspeedMonitor-Funktion modelliert werden.
ORTSUnloadingSpeed ==> ist die Geschwindigkeit der Lokomotive, wenn der Generator seine maximale Spannung erreicht, und aufgrund der Geschwindigkeit des Zuges beginnt der Motor zu „entladen“. Ab dieser Geschwindigkeit nimmt die Leistungsabgabe der Lokomotive typischerweise ab.
Wenn Sie Leistungs-/Krafttabellen verwenden, sind einige der oben genannten Werte nicht erforderlich. Einzelheiten finden Sie in den folgenden Abschnitten.
Starten des Motors
Um den Motor zu starten, drücken Sie einfach einmal die START/STOP-Taste. Der Richtungsregler muss sich in Neutralstellung befinden (sonst erscheint eine Warnmeldung). Die Motordrehzahl (Umdrehungen pro Minute) erhöht sich entsprechend den Geschwindigkeitskurvenparametern (später beschrieben). Wenn die Drehzahl 90 % der Startdrehzahl (standardmäßig 67 % der Leerlaufdrehzahl) erreicht, beginnt der Kraftstoff zu strömen und die Abgasemissionen beginnen ebenfalls. Die Drehzahl steigt weiter bis zur Startbestätigungs-RPM (standardmäßig 110 % der Leerlauf-RPM) und die geforderte Drehzahl wird auf Leerlauf gesetzt. Der Motor ist nun gestartet und betriebsbereit.
Abstellen des Motors
Um den Motor zu stoppen, drücken Sie einmal die START/STOP-Taste. Der Fahrtrichtungsregler muss sich in Neutralstellung befinden (andernfalls erscheint eine Warnmeldung). Der Kraftstofffluss wird unterbrochen und die Drehzahl beginnt entsprechend den Geschwindigkeitskurvenparametern zu sinken. Der Motor gilt als vollständig gestoppt, wenn die Drehzahl Null beträgt. Der Motor kann auch dann wieder gestartet werden, wenn er stoppt (die Drehzahl ist nicht Null).
Starten und Abstellen des Hilfsmotors
Durch Drücken der Hilfsmotor-START/STOP-Taste (<Strg+Z> auf englischen Tastaturen) können die Motoren von Helferlokomotiven gestartet oder gestoppt werden. Erwägen Sie auch, die Einheit von den Signalen der Mehrfacheinheit (MU) zu trennen, anstatt den Motor abzustellen (siehe hier, MU-Verbindung umschalten).
Es ist auch möglich, eine Lokomotive mit ausgeschaltetem eigenen Motor und eingeschaltetem Hilfsmotor zu betreiben.
OR-spezifische Motordefinition
Wenn keine ORTS-spezifische Definition gefunden wird, wird eine einzelne Motordefinition basierend auf den MSTS-Einstellungen erstellt. Da MSTS ein Modell ohne jegliche Datenüberprüfung einführt, kann das Verhalten von MSTS- und ORTS-Brennkraftlokomotiven sehr unterschiedlich sein. In MSTS wird MaxPower nicht in gleicher Weise berücksichtigt und Sie können eine viel bessere Leistung als erwartet erzielen. In ORTS können Motoren nicht überlastet werden.
Unabhängig davon, welche Motordefinition verwendet wird, wird der Motor durch seine Lasteigenschaften (maximale Ausgangsleistung gegenüber Drehzahl) für optimalen Kraftstoffdurchfluss und/oder mechanische Eigenschaften (Ausgangsdrehmoment gegenüber Drehzahl) für maximalen Kraftstoffdurchfluss definiert. Das Modell berechnet die Ausgangsleistung/das Ausgangsdrehmoment anhand dieser Eigenschaften und der Leistungshebeleinstellungen. Wenn die Merkmale nicht definiert sind (wie im Beispiel unten), werden sie auf der Grundlage der MSTS-Daten und gemeinsamer normalisierter Merkmale berechnet.

In vielen Fällen wird die Leistungs-Geschwindigkeits-Kurve individuell angepasst, da Leistung vs. Geschwindigkeit nicht linear ist. Um eine Überlastung des Motors bei niedrigeren Leistungseinstellungen zu vermeiden, ist eine standardmäßige lineare Gas-/Geschwindigkeitscharakteristik integriert. Dennoch wird empfohlen, die folgende Tabelle anzupassen, um ein realistischeres Verhalten zu erhalten.
In OR können einzelne oder mehrere Motoren für eine Lokomotive eingestellt werden. Falls mehr als ein Motor vorhanden ist, verhalten sich die anderen Motoren wie Hilfsmotoren (die Start-/Stopp-Steuerung für Hilfsmotoren ist standardmäßig <Strg+Z>). Die Leistung jedes aktiven Motors wird zur Lokomotivleistung addiert. Die Anzahl solcher Motoren ist nicht begrenzt.
Wenn die OR-spezifische Definition verwendet wird, wird jeder Parameter verfolgt und wenn einer fehlt (außer im Fall der mit „Optional“ gekennzeichneten), greift die Simulation auf die Verwendung von MSTS-Parametern zurück.
| Engine( | Engine section in eng file |
|---|---|
| ... | |
| ORTSDieselEngines ( 2 | Anzahl der Motoren |
| Diesel ( | |
| IdleRPM ( 510 ) | Leerlaufdrehzahl |
| MaxRPM ( 1250 ) | Maximale Drehzahl |
| Maximal RPM | Startdrehzahl |
| StartingConfirmRPM ( 570 ) | Bestätigungs-RPM starten |
| ChangeUpRPMpS ( 50 ) | Erhöhung der Änderungsrate U/min/s |
| ChangeDownRPMpS ( 20 ) | Abnehmende Änderungsrate U/min/s |
| RateOfChangeUpRPMpSS ( 5 ) | Sprung der Erhöhung der Änderungsrate RPM/s^2 |
| RateOfChangeDownRPMpSS ( 5 ) | Sprung der Abnehmende Änderungsrate RPM/s^2 |
| MaximalPower ( 300kW ) | Maximale Ausgangsleistung |
| IdleExhaust ( 5 ) | Anzahl der Abgaspartikel bei Leerlaufdrehzahl |
| MaxExhaust ( 50 ) | Anzahl der Abgaspartikel bei Leerlaufdrehzahl |
| ExhaustDynamics ( 10 ) | sich verflüchtigende Abgaspartikel |
| ExhaustDynamicsDown (10) | Mult. für Abwärtsverflüchtigungen (optional) |
| ExhaustColor ( 00 fe ) | Abgasfarbe im Dauerbetrieb |
| ExhaustTransientColor( | Die Abgasfarbe ändert sich bei Drehzahl |
| 00 00 00 00) | |
| DieselPowerTab ( | Leistungstabelle für Motoren |
| 0 0 | Drehzahlleistung in Watt |
| 510 2000 | |
| 520 5000 | |
| 600 2000 | |
| 800 70000 | |
| 1000 100000 | |
| 1100 200000 | |
| 1250 300000 | |
| ) |
| DieselConsumptionTab ( | Verbrauchstabelle für Kraftstoff |
|---|---|
| 0 0 | Drehzahl im Vergleich zum Verbrauch l/h/U/min |
| 510 10 | |
| 1250 245 | |
| ) | |
| ThrottleRPMTab ( | Eengine RPM vs. throttle table |
| 0 510 | Leistung % erforderliche Drehzahl |
| 5 520 | |
| 10 600 | |
| 20 700 | |
| 50 1000 | |
| 75 1200 | |
| 100 1250 | |
| ) | |
| DieselTorqueTab ( | Tabelle „Drehzahl des Motors im Vergleich zum Drehmoment“. |
| 0 0 | Drehzahlkraft in Newton |
| 510 25000 | |
| 1250 200000 | |
| ) | |
| MinOilPressure ( 40 ) | Min. Öldruck PSI |
| MaxOilPressure ( 90 ) | Maximaler Öldruck PSI |
| MaxTemperature ( 120 ) | Maximale Temperatur Celsius |
| Cooling ( 3 ) | Kühlung 0=Keine Kühlung, 1=Mechanisch, |
| 2= Hysterese, 3=Proportional | |
| TempTimeConstant ( 720 ) | Geschwindigkeit der Temperaturänderung |
| OptTemperature ( 90 ) | Normale Temperatur Celsius |
| IdleTemperature ( 70 ) | Leerlauftemperatur Celsius |
| Diesel ( ... ) | Das Gleiche wie oben oder anders |
Drehzahlverhalten des Motors
Die Motordrehzahl wird auf der Grundlage der Drehzahländerungsrate und ihrer Änderungsrate berechnet. Nachfolgend ist die übliche Einstellung und das entsprechende Ergebnis dargestellt. ChangeUpRPMpS bedeutet die Steigung der Drehzahl, RateOfChangeUpRPMpSS bedeutet, wie schnell sich die Drehzahl der geforderten Drehzahl nähert.

Kraftstoffverbrauch
Nach dem MSTS-Modell berechnet ORTS den Kraftstoffverbrauch des Motors basierend auf den Parametern der .eng-Datei. Der Kraftstoffdurchfluss und -füllstand werden in der HUD-Ansicht angezeigt. Der endgültige Kraftstoffverbrauch wird entsprechend der aktuellen Motorleistung (Last) angepasst.
Abgase
Die Abgasfunktion des Motors kann je nach Bedarf angepasst werden. Die Grundidee dieser Funktion basiert auf den allgemeinen Abgasen von Verbrennungsmotoren. Im Dauerbetrieb wird die Farbe des Abgases durch den neuen ENG-Motorparameter (ORTS (Diesel (ExhaustColor))) bestimmt.
Die Menge der emittierten Partikel ergibt sich aus einer linearen Interpolation der Werte von engine(ORTS (Diesel (IdleExhaust))) und engine(ORTS (Diesel (MaxExhaust))) im Bereich von 1 bis 50. In einem Übergangszustand beträgt die Die Kraftstoffmenge nimmt zu, aber die Verbrennung ist nicht optimal. Dadurch ist die Partikelmenge vorübergehend höher: z.B. multipliziert mit dem Wert von
engine(ORTS (Diesel (ExhaustDynamics))) und wird mit der durch engine(ORTS(Diesel(ExhaustTransientColor))) angegebenen Farbe angezeigt.
Das Format des Farbwerts ist (aarrggbb), wobei:
• aa = Lichtintensität;
• rr = roter Farbanteil;
• gg = grüner Farbanteil;
• bb = blauer Farbanteil;
und jede Komponente hat das HEX-Zahlenformat (00 bis ).
Kühlsystem
ORTS führt ein einfaches Kühl- und Ölsystem im Motormodell ein. Die Motortemperatur richtet sich nach der Ausgangsleistung und der Kühlsystemleistung. Ohne Leistungseinbußen kann ein Maximalwert von 100°C erreicht werden. Es handelt sich lediglich um einen Indikator, die Auswirkung auf die Motorleistung wird jedoch erst später umgesetzt. Die Öldruckfunktion ist vereinfacht und der Wert ist proportional zur Drehzahl. Später wird es weitere Verbesserungen des Systems geben.
Dieselelektrische Lokomotiven
Dieselelektrische Lokomotiven werden von elektrischen Fahrmotoren angetrieben, die von einem Motorgeneratorsatz gespeist werden. Das Aggregat ist die einzige verfügbare Stromquelle, daher versorgt die Motorleistung auch Hilfsaggregate und andere Verbraucher. Daher wird die Ausgangsleistung immer niedriger sein als die Nennleistung des Motors.
In ORTS kann die dieselelektrische Lokomotive ORTSTractionCharacteristics oder Tabellen von ORTSMaxTractiveForceCurves verwenden, um eine bessere Annäherung an die Leistung in der realen Welt zu erzielen. Wird kein Tisch verwendet, wird die Zugkraft durch MaxForce, MaxPower und MaxVelocity begrenzt. Die Leistungshebeleinstellung wird an die Registerkarte „ThrottleRPM“ übergeben, wo der Drehzahlbedarf ausgewählt wird. Die Ausgangskraft erhöht sich mit der Leistungshebeleinstellung, die Leistung folgt jedoch der maximal verfügbaren Ausgangsleistung (abhängig von der Drehzahl).
Dieselhydraulische Lokomotiven
Dieselhydraulische Lokomotiven sind in ORTS nicht implementiert. Durch die Verwendung der Tabellen ORTSTractionCharacteristics oder ORTSMaxTractiveForceCurves kann jedoch die gewünschte Leistung erreicht werden, wenn kein Getriebe verwendet wird und der DieselEngineType elektrisch ist.
Dieselmechanische Lokomotiven
ORTS verfügt über eine mechanische Getriebefunktion, die das Verhalten von MSTS nachahmt, einschließlich automatischer oder manueller Schaltung. Einige in MSTS nicht ausführlich beschriebene Funktionen sind noch nicht implementiert, z. B. GearBoxBackLoadForce, GearBoxCoastingForce und GearBoxEngineBraking.
Die Ausgabeleistung unterscheidet sich stark von MSTS. Die Ausgangskraft wird anhand der Drehmomenteigenschaften des Dieselmotors berechnet, um genauere Ergebnisse zu erhalten.
Um anzuzeigen, dass es sich beim Diesel um ein mechanisches Getriebe handelt, muss ORTSDieselTransmissionType auf „Mechanic“ gesetzt werden.
Es können zwei ORTS-Konfigurationen für mechanische Getriebe eingerichtet werden.
Diese drei Getriebe können über den folgenden Parameter ausgewählt werden:
ORTSGearBoxType (A) – stellt ein halbautomatisches Vorwahlgetriebe dar, das eine kontinuierliche Leistungsabgabe liefert, die beim Gangwechsel nicht unterbrochen wird.
ORTSGearBoxType (B) – stellt ein halbautomatisches Vorwahlgetriebe dar, bei dem beim Wechsel von einem Gang in den anderen zwar eine Zugkraftunterbrechung auftritt, die Motordrehzahl jedoch bei Bedarf durch eine Wellenbremse reduziert wird, so dass keine Zugkraftunterbrechung auftritt dass der Fahrer den Gashebel verstellen muss.
ORTSGearBoxType (C) – stellt ein halbautomatisches Vorwahlgetriebe dar, bei dem der Fahrer den Gashebel einstellen muss, bevor er einen Gangwechsel vornimmt.
Für jeden der oben genannten Getriebetypen ist einer von drei möglichen Hauptkupplungstypen wählbar:
ORTSMainClutchType ( Friction ) – stellt eine mechanische Reibungskupplung dar.
ORTSMainClutchType (Fluid) – stellt eine Flüssigkeitskupplung dar. Wenn ein Getriebe sowohl eine Reibungskupplung als auch eine Flüssigkeitskupplung umfasst, sollte ORTSMainClutchType („Fluid“) in der Motordatei verwendet werden.
ORTSMainClutchType ( Scoop ) – stellt eine Flüssigkeitskupplung dar, die eine Schaufelvorrichtung enthält, um den Motor im Leerlauf vom Getriebe zu trennen.
ORTSGearBoxFreeWheel – gibt an, ob ein Freilaufmechanismus im Getriebe enthalten ist. ( 0 ) – sollte für Getriebe verwendet werden, die keinen Freilauf enthalten. Diese Option ermöglicht bei Bedarf eine „Motorbremsung“. (1) – sollte für Getriebe verwendet werden, die einen Freilauf enthalten. Mit dieser Option kann der Zug mit eingelegtem Motor im Leerlauf fahren.
GearBoxNumberOfGears – Die Anzahl der im Getriebe verfügbaren Gänge.
Derzeit ist eine BASIC-Modellkonfiguration verfügbar (dh es werden keine vom Benutzer definierten Traktionskurven oder Motorkurven unterstützt) oder eine ERWEITERTE Konfiguration (dh der Benutzer definiert die Motorparameter einschließlich der Drehmomentkurve. Zwei Motoren von Derselbe Typ kann mit dem fortschrittlichen Motorblock in dieselbe Lokomotive oder denselben Triebwagen eingebaut werden. Wenn zwei Motoren eingebaut sind, wird davon ausgegangen, dass sie jeweils eine separate Achse oder ein Drehgestell über ein separates, identisches Getriebe antreiben. Zwei oder mehr Lokomotiven oder Leistung Autos in der gleichen Gruppe sollten jetzt auch korrekt funktionieren.
OR berechnet die Zugkraftkurven für jeden Gang basierend auf der „eingebauten“ Drehmomentkurve eines typischen Motors.
GearBoxMaxSpeedForGears – legt die maximale Geschwindigkeit für jeden Gang fest, entsprechend der maximalen Motordrehzahl und der maximalen Leistung. Die Werte für einen typischen DMU der ersten Generation der British Railways sind beispielsweise:
GearBoxMaxSpeedForGears( 15.3 27 41 65.5 ) – Die Standardwerte sind in Meilen pro Stunde angegeben, es können jedoch auch andere Einheiten eingegeben werden. Im oben genannten Fall beträgt die maximal zulässige Geschwindigkeit des Zuges 70 Meilen pro Stunde; ein kleines Maß an „Übergeschwindigkeit“ ist erlaubt
im höchsten Gang. Die Geschwindigkeit im vierten Gang von 65,5 Meilen pro Stunde entspricht der maximalen Motordrehzahl, die in der Motorendatei von DieselEngineMaxRPM festgelegt ist. Der Motor kann weiter über seine normale „Höchstgeschwindigkeit“ hinaus „durchdrehen“, bis er die maximal geregelte Geschwindigkeit oder „Redline“-Geschwindigkeit erreicht, bei der der Motorregler die Kraftstoffzufuhr unterbricht, bis die Motorgeschwindigkeit reduziert wird. Diese Geschwindigkeit kann in grundlegenden Open Rails-ENG-Dateien mit ORTSDieselEngineGovenorRpM eingestellt werden. Im Falle des oben genannten Zuges wären dies dann der Fall
DieselEngineMaxRPM( 1800 ) ORTSDieselEngineGovenorRpM ( 2000 )
Wenn der Motor unter irgendwelchen Umständen ORTSDieselEngineGovenorRpM erreicht, wird der Dieselmotor automatisch abgeschaltet.
ORTSGearBoxTractiveForceAtSpeed – Die in jedem Gang verfügbare Zugkraft bei der in GearBoxMaxSpeedForGears angegebenen Geschwindigkeit. Standardmäßig sind die Einheiten N, jedoch lbf, N oder kN. Die veröffentlichten Werte für die Zugkraft von Getriebelokomotiven und Triebzügen beziehen sich im Allgemeinen auf die maximale Geschwindigkeit für jeden Gang.
ORTSReverseGearboxIndication – Einige Getriebe verfügen über eine „Rückwärtsgang“-Anordnung, z. B. N-4-3-2-1. Dieser Parameter ermöglicht es dem Gangwahlschalter, die Gänge für diese Art von Getriebeanordnung in der richtigen Reihenfolge anzuzeigen. Wenn Sie diesen Parameter verwenden, beachten Sie im obigen Beispiel, dass GearBoxMaxSpeedForGears und ORTSGearBoxTractiveForceatSpeed die Gänge in der Reihenfolge 4-3-2-1 und nicht in aufsteigender Reihenfolge auflisten müssen.
Daher könnte eine typische Getriebekonfiguration für eine dieselmechanische Lokomotive wie folgt aussehen:
ORTSDieselTransmissionType (Mechaniker)
ORTSGearBoxType ( B ) ORTSMainClutchType („Friction“) ORTSGearBoxFreeWheel (0)
GearBoxOperation( Manual ) GearBoxNumberOfGears( 6 ) GearBoxMaxSpeedForGears( 4,5mph 6mph 9mph 14,5mph 21mph 33mph ) ORTSGearBoxTractiveForceatSpeed( 35400lbf 26600lbf 17700lbf 11200lbf 7600lbf 4830lbf )
Traktionsunterbrechungsrelais
Das Traktionsunterbrechungsrelais aller Lokomotiven in einem Verbund kann durch die Befehle „Steuerung des Traktionsunterbrechungsrelais-Schließbefehls“, „Steuerung des Traktionsunterbrechungsrelais-Öffnungsbefehls“ und „Steuerung des Traktionsunterbrechungsrelais-Schließungsbefehls“ (<O>, <) gesteuert werden I> und <Umschalt+O> standardmäßig ). Der Status des Traktionsunterbrechungsrelais wird durch den Wert des Traktionsunterbrechungsrelais in der HUD-Ansicht angezeigt.
Das Traktionsunterbrechungsrelais wird auch geöffnet, wenn das Train Control System eine Notbremsung auslöst.
Es stehen zwei Standardverhalten zur Verfügung:
• Standardmäßig schließt das Traktionsabschaltrelais des Zuges, sobald Strom an den Lokomotiven verfügbar ist.
• Das Traktionsabschaltrelais kann auch manuell vom Fahrer gesteuert werden. Um dieses Verhalten zu erhalten, setzen Sie
den Parameter ORTSTractionCutOffRelay( Manual ) im Engine-Abschnitt der ENG-Datei.
Um ein anderes Verhalten des Traktionstrennrelais zu modellieren, steht eine Scripting-Schnittstelle zur Verfügung. Das Skript kann mit dem Parameter ORTSTractionCutOffRelay( <Name der Datei> ) geladen werden.
Im wirklichen Leben schließt das Traktionsunterbrechungsrelais nicht sofort, daher können Sie mit dem optionalen Parameter ORTSTractionCutOffRelayClosingDelay( ) eine Verzögerung hinzufügen (standardmäßig in Sekunden).
Stromversorgung
Der Leistungsstatus wird durch den Leistungswert in der HUD-Ansicht angezeigt.
Die Zeitverzögerung der Einschaltsequenz kann durch den optionalen ORTSPowerOnDelay( )-Wert (zum Beispiel: ORTSPowerOnDelay( 5s )) im Engine-Abschnitt der .eng-Datei (Wert in Sekunden) angepasst werden. Die gleiche Verzögerung für Hilfssysteme kann durch den optionalen Parameter ORTSAuxPowerOnDelay( ) eingestellt werden (by
Standardeinstellung in Sekunden).
Eine Skriptschnittstelle zur Anpassung des Verhaltens der Stromversorgung ist ebenfalls verfügbar.
8.2.2 Elektrolokomotiven
Derzeit verwenden Berechnungen der Physik von Diesel- und Elektrolokomotiven die Standard-Motorphysik. Die standardmäßige Motorphysik verwendet einfach die Parameter MaxPower und MaxForce, um die Zugkraft des Motors zu bestimmen, die durch die Positionen Reverser und Throttle modifiziert wird. Die Lokomotivphysik kann sein
ersetzt durch Traktionseigenschaften (Geschwindigkeit in MPS vs. Kraft in Newton), wie unten beschrieben.
Um die Realitätsnähe des elektrischen Systems zu verbessern, stehen einige OP-spezifische Parameter zur Verfügung.
Stromabnehmer
Die Stromabnehmer aller Lokomotiven in einem Verbund werden durch die Befehle „Control Pantograph First“ und „Control Pantograph Second“ (standardmäßig <P> und <Shift+P>) ausgelöst. Der Status der Stromabnehmer wird durch den Wert „Stromabnehmer“ in der HUD-Ansicht angezeigt.
Da der Simulator nicht weiß, ob der Stromabnehmer im 3D-Modell oben oder unten ist, können Sie einige zusätzliche Parameter festlegen, um eine Verzögerung zwischen dem Zeitpunkt, an dem der Befehl zum Anheben des Stromabnehmers gegeben wird, und dem Zeitpunkt, an dem der Stromabnehmer tatsächlich oben ist, hinzuzufügen.
Um dies zu tun, können Sie in den Wagon-Abschnitt Ihrer .eng-Datei oder .wag-Datei (da sich der Stromabnehmer möglicherweise auf einem Waggon befindet) diese optionale Struktur schreiben:
ORTSPantographen(
Pantograph( << Dies wird Ihr erster Pantograph sein.
Verzögerung (5 s) << Beispiel: eine Verzögerung von 5 Sekunden
)
Pantograph(
... Parameter für den zweiten Stromabnehmer ...
)
)
Dieser Struktur werden später noch weitere Parameter hinzugefügt, etwa Leistungsbegrenzungen oder Geschwindigkeitsbeschränkungen.
3. und 4. Stromabnehmer
Open Rails unterstützt bis zu 4 Stromabnehmer pro Lokomotive. Wenn drei oder vier Stromabnehmer vorhanden sind, ist der obige ORTSPantographs()-Block obligatorisch und muss eine Anzahl von Pantograph()-Blöcken enthalten, die der Anzahl der Stromabnehmer in der Lokomotive entspricht. Die Animationsnamen des 3. und 4. Stromabnehmers folgen den gleichen Regeln wie für Stromabnehmer 2 (wobei 2 durch 3 und 4 ersetzt wird). Der dritte Panto wird mit Strg-P verschoben, während der vierte Panto mit Strg-Umschalt-P verschoben wird. Die cabviewcontrols müssen ORTS_PANTOGRAPH3 und ORTS_PANTOGRAPH4 heißen.
Leistungsschalter
Der Leistungsschalter aller Lokomotiven in einem Verbund kann durch die Befehle „Schließreihenfolge des Steuerleistungsschalters“, „Öffnungsreihenfolge des Steuerleistungsschalters“ und „Autorisierung des Schließens des Steuerleistungsschalters“ gesteuert werden (standardmäßig <O>, <I> und <Umschalt+O>). Der Status des Leistungsschalters wird durch den Wert „Leistungsschalter“ in der HUD-Ansicht angezeigt.
Der Leistungsschalter wird auch geöffnet, wenn das Train Control System eine Notbremsung auslöst.
Es stehen zwei Standardverhalten zur Verfügung:
• Standardmäßig schließt der Leistungsschalter des Zuges, sobald Strom am Stromabnehmer verfügbar ist.
• Der Leistungsschalter kann auch manuell vom Fahrer gesteuert werden. Um dieses Verhalten zu erzielen, fügen Sie den Parameter ORTSCircuitBreaker( Manual ) in den Engine-Abschnitt der ENG-Datei ein.
Um ein anderes Verhalten des Leistungsschalters zu modellieren, steht eine Scripting-Schnittstelle zur Verfügung. Das Skript kann mit dem Parameter ORTSCircuitBreaker( <Name der Datei> ) geladen werden.
Im wirklichen Leben schließt der Leistungsschalter nicht sofort, daher können Sie mit dem optionalen Parameter ORTSCircuitBreakerClosingDelay( ) eine Verzögerung hinzufügen (standardmäßig in Sekunden).
Stromversorgung
Der Leistungsstatus wird durch den Leistungswert in der HUD-Ansicht angezeigt.
Die Zeitverzögerung der Einschaltsequenz kann durch den optionalen ORTSPowerOnDelay( )-Wert (zum Beispiel: ORTSPowerOnDelay( 5s )) im Engine-Abschnitt der .eng-Datei angepasst werden (Wert in Sekunden). Die gleiche Verzögerung für Hilfssysteme kann durch den optionalen Parameter ORTSAuxPowerOnDelay( ) eingestellt werden (by
Standardeinstellung in Sekunden).
Eine Skriptschnittstelle zur Anpassung des Verhaltens der Stromversorgung ist ebenfalls verfügbar.
Fahrmotortyp
Es gibt verschiedene Arten von Elektromotoren: Reihengleichstrommotoren, Asynchron-/Synchron-Wechselstrommotoren usw. Derzeit ist ein einfacher Wechselstrom-Induktionsmotor implementiert, der mit dem Parameter „ORTSTractionMotorType (AC)“ ausgewählt und eingefügt werden kann der Engine-Abschnitt der ENG-Datei. Die Verwendung von
Dieser Motor wirkt sich auf den Radschlupf aus, da die Radgeschwindigkeit niemals die Frequenz des rotierenden Magnetfelds überschreitet.
8.2.3 Dampflokomotiven
Allgemeine Einführung in Dampflokomotiven
Prinzipien der Zugbewegung
Wichtige Punkte, die Sie beachten sollten:
• Die Zugkraft der Dampflokomotive muss größer sein als die Widerstandskräfte des Zuges.
• Der Zugwiderstand wird durch den Zug selbst, Kurven, Steigungen, Tunnel usw. beeinflusst.
• Die Zugkraft nimmt mit der Geschwindigkeit ab und erreicht einen Punkt, an dem sie dem Zugwiderstand entspricht
Somit kann der Zug nicht schneller fahren.
• Dieser Punkt variiert, da der Zugwiderstand aufgrund sich ändernder Gleisbedingungen variiert.
• Die theoretische Zugkraft wird durch den Kesseldruck, die Zylindergröße und den Antriebsraddurchmesser bestimmt und variiert je nach Lokomotive.
• Niedrige Adhäsionsfaktoren führen dazu, dass die Antriebsräder der Lokomotive durchrutschen.
Kräfte, die die Zugbewegung beeinflussen
Die Dampflokomotive ist eine Wärmekraftmaschine, die die durch die Verbrennung von Brennstoffen wie Kohle erzeugte Wärmeenergie in Wärme und letztendlich in Dampf umwandelt. Der Dampf wird dann zur Arbeit verwendet, indem er in die Zylinder eingespritzt wird, um die Räder anzutreiben und die Lokomotive vorwärts zu bewegen. Um zu verstehen, wie sich ein Zug vorwärts bewegt, ist es notwendig, die wichtigsten mechanischen Kräfte zu verstehen, die auf den Zug wirken. Das folgende Diagramm zeigt die beiden Hauptkräfte, die die Bewegungsfähigkeit eines Zuges beeinflussen.

Die erste Kraft ist die von der Lokomotive erzeugte Zugkraft, während die zweite Kraft der vom Zug ausgeübte Widerstand ist. Immer wenn die Zugkraft größer ist als der Zugwiderstand, fährt der Zug weiter vorwärts; Sobald der Widerstand die Zugkraft übersteigt, wird der Zug langsamer und stoppt schließlich die Vorwärtsbewegung.
In den folgenden Abschnitten werden die Kräfte der Zugkraft und des Zugwiderstands detaillierter beschrieben.
Zugwiderstand
Der Bewegung des Zuges wirken verschiedene Kräfte entgegen, die in ihrer Gesamtheit den Zugwiderstand bilden.
Die wichtigsten Widerstandskräfte sind wie folgt (die ersten beiden Widerstandswerte werden durch die Davis-Formeln modelliert und gelten nur auf geraden, ebenen Gleisen):
• Zapfen- oder Lagerwiderstand (oder Reibung)
• Luftwiderstand
• Steigungswiderstand – Züge, die bergauf fahren, sind größeren Widerstandskräften ausgesetzt als Züge, die auf ebenen Gleisen verkehren.
• Kurvenwiderstand – gilt, wenn der Zug um eine Kurve fährt, und wird durch den Kurvenradius, die Geschwindigkeit und den festen Radstand des Rollmaterials beeinflusst.
• Tunnelwiderstand – gilt, wenn ein Zug durch einen Tunnel fährt.
Zugkraft
Die Zugkraft entsteht durch die Wirkung des Dampfes auf die Kolben, die über Stangen, Kreuzköpfe usw. die Räder in Rotation versetzen und den Motor vorantreiben.
Die Zugkraft ist eine Funktion des mittleren effektiven Drucks des Dampfzylinders und wird durch die folgende Formel für eine einfache Lokomotive ausgedrückt. Getriebe- und Verbundlokomotiven haben eine etwas andere Formel:
TE = Zyl/2 x (M.E.P. x d2 x s) / D
Wo:
• Cyl = Anzahl der Zylinder
• TE = Zugkraft (lbf)
• M.E.P. = mittlerer effektiver Druck des Zylinders (psi)
• D = Durchmesser des Zylinders (Zoll)
• S = Hub des Zylinderkolbens (in)
• D = Durchmesser der Antriebsräder (Zoll)
Theoretische Zugkraft
Um den Vergleich verschiedener Lokomotiven sowie die Bestimmung ihrer relativen Zugfähigkeit zu ermöglichen, wird ein theoretischer Näherungswert der Zugkraft anhand des Kesseldrucks berechnet und enthält einen Faktor zur Reduzierung des M.E.P.-Werts.
Somit lautet unsere Formel von oben:
TE = Zyl/2 x (C x BP x d2 x s) / D
Wo:
• BP = Kesseldruck (Überdruck – psi)
• C = Faktor zur Berücksichtigung von Verlusten im Motor, typische Werte zwischen 0,7 und 0,85 werden von verschiedenen Herstellern und Eisenbahnunternehmen verwendet. Der Standardwert ist auf 0,85 eingestellt. Der Benutzer kann Änderungen vornehmen, indem er den Parameter ORTSTractiveEffortFactor zur ENG-Datei hinzufügt.
Adhäsionsfaktor
Der Adhäsionsfaktor beschreibt die Wahrscheinlichkeit, dass die Lokomotive bei Krafteinwirkung ins Rutschen kommt
Räder und Schienen und ist das Verhältnis der anfänglichen Zugkraft zum Gewicht auf den Antriebsrädern des
Lokomotive:
FoA = Wd / TE
Wo:
• FoA = Adhäsionsfaktor
• TE = Zugkraft (lbs)
• Wd =Gewicht auf Antriebsrädern (lbs)
Typischerweise sollte der Adhäsionsfaktor bei Dampflokomotiven idealerweise zwischen 4,0 und 5,0 liegen. Werte unten
Dieser Bereich führt normalerweise zu einem Schlupf auf der Schiene.
Angegebene Pferdestärke (IHP)
Die angegebene Pferdestärke ist die theoretische Leistung, die eine Dampflokomotive erzeugt. Das allgemein akzeptierte
Die Formel für die angezeigte Leistung lautet:
I.H.P. = Zyl/2 x (M.E.P. x L x A x N) / 33000
Wo:
• IHP = Angezeigte Pferdestärke (PS)
• Cyl = Anzahl der Zylinder
• M.E.P. = mittlerer effektiver Druck des Zylinders (psi)
• L = Hub des Zylinderkolbens (ft)
• A = Fläche des Zylinders (Quadratzoll)
• N = Anzahl der Zylinderkolbenhübe pro Minute (Anmerkung: zwei Kolbenhübe pro Radumdrehung) Wie im Diagramm unten gezeigt, steigt IHP mit der Geschwindigkeit, bis es einen Maximalwert erreicht. Dieser Wert wird durch die Fähigkeit des Zylinders, einen effizienten Dampfdurchsatz aufrechtzuerhalten, sowie durch die Fähigkeit des Kessels bestimmt
Fähigkeit, eine ausreichende Dampferzeugung aufrechtzuerhalten, um dem Dampfverbrauch der Zylinder gerecht zu werden.

Beförderungskapazität von Lokomotiven
Somit ist ersichtlich, dass die Zugleistung durch die Summe der Zugkraft und des Zugwiderstandes bestimmt wird.
Unterschiedliche Lokomotiven waren darauf ausgelegt, unterschiedliche Zugkraftwerte zu erzeugen, und daher wurden die Lasten, die sie transportieren konnten, von den Gleisverhältnissen bestimmt, hauptsächlich von der herrschenden Steigung für den Abschnitt und der Last oder dem Zuggewicht. Daher haben die meisten Eisenbahnunternehmen und Lokomotivhersteller Lasttabellen für die verschiedenen Lokomotiven in Abhängigkeit von ihrer theoretischen Zugkraft entwickelt.
Die folgende Tabelle ist ein Beispiel, das die Beförderungskapazität einer amerikanischen (4-4-0) Lokomotive aus dem Katalog der Baldwin Locomotive Company zeigt und die relativen Belastungen auf ebenen Gleisen und anderen Qualitäten wie Zylindergröße, Antriebsraddurchmesser und Gewicht auflistet Die Lokomotive ist vielfältig.

Typischerweise wird die herrschende Steigung als die maximale Steigung definiert, mit der ein Zug in einem bestimmten Abschnitt der Strecke konfrontiert ist, und diese Steigung bestimmt typischerweise die maximal zulässige Last, die der Zug in diesem Abschnitt transportieren kann. Die zulässige Belastung variiert je nach Fahrtrichtung des Zuges.
Elemente des Dampflokbetriebs
Eine Dampflokomotive ist eine sehr komplexe Maschine, die aus vielen Einzelteilen besteht, von denen jedes einzelne die Leistung der Lokomotive auf unterschiedliche Weise beeinflusst. Selbst auf dem Höhepunkt ihrer Entwicklung in der Mitte des 20. Jahrhunderts standen dem Lokomotivkonstrukteur nur eine Reihe von Faktoren und einfachen Formeln zur Verfügung, um ihre Leistung zu beschreiben. Nach der Konstruktion und dem Bau wurde die Leistung der Lokomotive empirisch gemessen und angepasst, d. h. durch Tests und Experimente an der Lokomotive. Selbst Lokomotiven derselben Klasse können Leistungsunterschiede aufweisen.
Nachfolgend finden Sie eine vereinfachte Beschreibung einer Dampflokomotive, um einige der wichtigsten Grundlagen ihres Betriebs zu verstehen.
Wie oben erwähnt, ist die Dampflokomotive eine Wärmekraftmaschine, die Kraftstoff (Kohle, Holz, Öl usw.) in Wärme umwandelt; Dies wird dann verwendet, um Arbeit zu verrichten, indem es die Kolben antreibt, um die Räder zu drehen. Der Betrieb einer Dampflokomotive kann im Hinblick auf die folgenden, allgemein definierten Komponenten betrachtet werden:
• Kessel und Feuer (Wärmeumwandlung)
• Zylinder (erledigte Arbeit)
Kessel und Feuer (Wärmeumwandlung)
Der Arbeitsaufwand, den eine Lokomotive leisten kann, wird durch die Dampfmenge bestimmt, die der Kessel erzeugen (verdampfen) kann.
Die Dampferzeugung im Kessel hängt typischerweise von der Rostfläche und der Verdampfungsfläche des Kessels ab.
• Rostfläche – die Menge an Wärmeenergie, die durch die Verbrennung des Brennstoffs freigesetzt wird, hängt von der Größe der Rostfläche, dem Luftzug, der über den Rost zur Unterstützung der Brennstoffverbrennung strömt, dem Heizwert des Brennstoffs und der Menge an Brennstoff ab, die verbrennt an den Brennstoff verfüttert werden (ein menschlicher Feuerwehrmann kann in einer Stunde nur eine begrenzte Menge Kohle schaufeln). Einige Lokomotiven verfügten möglicherweise über ausreichend große Rostflächen, waren jedoch „schlechte Dampfer“, da sie über eine geringe Zugkraft verfügten
• Kesselverdampfungsbereich – besteht aus dem Teil der Rebox, der mit dem Kessel in Kontakt steht, und den durch den Kessel verlaufenden Wärmerohren. Dieser Bereich bestimmt die Wärmemenge, die an das Wasser im Kessel übertragen werden kann. Als Faustregel gilt, dass ein Kessel etwa 12–15 lbs/h Dampf pro ft2 Verdampfungsfläche erzeugen könnte.
• Kesselüberhitzerbereich – Typischerweise sind moderne Dampflokomotiven überhitzt, während ältere Lokomotiven nur Sattdampf verwendeten. Bei der Überhitzung wird dem Dampf mehr Wärme zugeführt, ohne dass sich der Druck ändert. Dies lieferte mehr Energie im Dampf und ermöglichte es der Lokomotive, mehr Arbeit zu leisten, allerdings mit einem geringeren Dampf- und Kraftstoffverbrauch. Mit anderen Worten: Eine überhitzte Lokomotive war tendenziell effizienter als eine gesättigte Lokomotive.
Zylinder (erledigte Arbeit)
Um die Lokomotive voranzutreiben, wurde Dampf in den Zylinder eingespritzt, der den Kolben vor und zurück drückte, was wiederum die Antriebsräder der Lokomotive drehte. Je größer die Antriebsräder waren, desto schneller konnte die Lokomotive fahren.
Je schneller die Lokomotive fuhr, desto mehr Dampf wurde zum Antrieb der Zylinder benötigt. Der vom Kessel erzeugbare Dampf war je nach Konstruktion des Kessels typischerweise auf einen endlichen Wert begrenzt. Darüber hinaus stößt auch die Fähigkeit, Dampf in den Zylinder einzublasen und aus ihm auszustoßen, tendenziell an endliche Grenzen. Diese Faktoren führen typischerweise zusammen, um die Leistung einer Lokomotive abhängig von den verwendeten Konstruktionsfaktoren zu begrenzen.
Lokomotivtypen
Im Laufe ihrer Entwicklung wurden viele verschiedene Lokomotiventypen entwickelt, einige der gebräuchlichsten Kategorien sind wie folgt:
• Einfach – einfache Lokomotiven hatten nur einen einzigen Expansionszyklus im Zylinder
• Verbundlokomotiven – Lokomotiven hatten mehrere Dampfexpansionszyklen und hatten typischerweise einen Hoch- und Niederdruckzylinder.
• Gesättigt – Dampf wurde nur knapp über den Siedepunkt von Wasser erhitzt.
• Überhitzt – Dampf wurde weit über den Siedepunkt von Wasser erhitzt und konnte daher mehr Arbeit in der Lokomotive erzeugen.
• Getriebe – Lokomotiven waren mit Getriebe ausgestattet, um die von der Lokomotive erzeugte Zugkraft zu erhöhen, wodurch jedoch die Betriebsgeschwindigkeit der Lokomotive verringert wurde.
Heißdampflokomotiven
Zu Beginn des 20. Jahrhunderts wurden einige Lokomotiven mit Überhitzern ausgestattet. Wie der Name schon sagt, wurde ein Überhitzer entwickelt, um die Dampftemperatur deutlich über die normale Sattdampftemperatur zu erhöhen. Dies hatte für Lokomotivingenieure eine Reihe von Vorteilen, da die Kondensation des Dampfes im Zylinder vermieden wurde und somit die Dampfmenge reduziert wurde, die erforderlich war, um die gleiche Arbeitsmenge in den Zylindern zu erzeugen. Dies führte zu einem geringeren Wasser- und Kohleverbrauch der Lokomotive und verbesserte allgemein die Effizienz der Lokomotive.
Die Überhitzung wurde durch den Einbau eines Überhitzerelements erreicht, das die Heizfläche der Lokomotive effektiv vergrößerte.
Getriebelokomotiven
Bei Industriebahnen, wie sie beispielsweise in der Holzindustrie eingesetzt werden, wurden die Zuleitungen zu Kohlebergwerken oft nach sehr billigen Standards gebaut. Infolgedessen wurden sie je nach Gelände häufig mit scharfen Kurven und starken Gefällen im Vergleich zu normalen Hauptstreckenstandards verlegt.
Aufgrund ihres langen festen Radstandes (gekuppelte Räder) und der relativ geringen Zugkraft, die den steilen Steigungen nicht gewachsen war, konnten auf diesen Strecken keine typischen Stablokomotiven eingesetzt werden. Damit fanden Getriebelokomotiven ihre Nische in der Eisenbahnpraxis.
Getriebelokomotiven verwendeten typischerweise Drehgestellradsätze, wodurch der starre Radstand im Vergleich zu Stangenlokomotiven reduziert werden konnte und so das Durchfahren enger Kurven ermöglicht wurde. Darüber hinaus ermöglichte das Getriebe eine Erhöhung der Zugkraft, um die im Vergleich zu Hauptstreckengleisen steileren Steigungen zu bewältigen.
Durch das Getriebe konnte zwar mehr Zugkraft erzeugt werden, es bedeutete aber auch, dass die maximale Kolbengeschwindigkeit bei einer geringeren Gleisgeschwindigkeit erreicht wurde.
Wie oben angedeutet, hängt die maximale Gleisgeschwindigkeit von der Belastung und den Gleisbedingungen ab. Da diese Art von Strecken leicht verlegt waren, konnte es bei zu hohen Geschwindigkeiten zu Entgleisungen usw. kommen.
Die drei Haupttypen der verwendeten Getriebelokomotiven waren:
• Shay-Lokomotiven
• Höhepunkt
• Heisler
Dampflokbetrieb
Um eine Dampflokomotive erfolgreich zu fahren, muss die Leistung der folgenden Elemente berücksichtigt werden:
• Kessel und Feuer (Wärmeumwandlung)
• Zylinder (erledigte Arbeit)
Weitere Einzelheiten zu diesen Elementen finden Sie in der Zusammenfassung der Fahrtipps „Elemente des Dampflokomotive-Betriebs“.
• Wenn möglich, stellen Sie bei normalem Betrieb den Regler auf 100 % ein und verwenden Sie den Umkehrer, um Dampfverbrauch und Geschwindigkeit anzupassen.
• Vermeiden Sie ruckartige Bewegungen beim Starten oder Fahren der Lokomotive, um die Gefahr eines Kupplungsbruchs zu verringern.
• Lassen Sie den Reversierer beim Anfahren immer vollständig aufgezogen und öffnen Sie den Regler langsam und gleichmäßig, ohne dass die Räder durchrutschen.
Open Rails Steam-Funktionalität (Heizer)
Die Funktionalität der Open Rails Steam-Lokomotive bietet zwei Betriebsoptionen:
• Automatischer Feuerwehrmann (computergesteuert): Im automatischen oder computergesteuerten Feuerwehrmodus wird die gesamte Lokomotivfeuerung und das Kesselmanagement von Open Rails übernommen, sodass sich der Spieler auf das Fahren der Lokomotive konzentrieren kann. Dem Spieler stehen nur die grundlegenden Bedienelemente wie Regler und Gashebel zur Verfügung.
• Manueller Feuerwehrmann: Im Modus „Manueller Heizer“ muss der Spieler das gesamte Zünden der Lokomotive und das Kesselmanagement übernehmen. Alle Kesselmanagement- und Feuerungssteuerungen, wie Gebläse, Einspritzdüse, Brennstoffmenge, stehen dem Spieler zur Verfügung und können entsprechend angepasst werden.
Mit den Tasten <Strg+F> wechseln Sie zwischen dem manuellen und dem automatischen Schussmodus. Eine vollständige Liste der Tastatursteuerungen zur Verwendung im manuellen Modus finden Sie auf der Registerkarte „Tastatur“ des Fensters „Open Rails-Optionen“.
Kesselregelung
Bei Open Rails liegt der sichere Betriebsbereich für den Kesselwasserstand bei 75–90 % und dieser wird vom KI-Feuerwehrmann automatisch aufrechterhalten. (Hinweis: Hierbei handelt es sich nicht um den Wert der Wasserglasanzeige des Kessels, sondern um den Füllgrad des Kessels in %.)
Im manuellen Betrieb müssen Sie den Kesselwasserstand unter 90 % halten. Bei einem Füllstand von 91 % oder mehr gelangt Wasser in die Dampfleitungen und da das Wasser nicht komprimierbar ist, beschädigt es die Zylinder. Open Rails modelliert den Schaden nicht, sondern gibt Bestätigungsmeldungen aus: „Kessel überfüllt und saugt sich an“ und „Kessel saugt nicht mehr an“, wenn der Wert auf 91 % steigt und unter 90 % fällt.
Im manuellen Betrieb müssen Sie den Kesselwasserstand über 70 % halten. Bei einem Wert unter 70 % wird die Feuerraumkrone freigelegt. Im wirklichen Leben ist dies ein katastrophaler Fehler, der die Schmelzsicherungen in der Krone zum Schmelzen bringt und Dampf in den Feuerraum und von dort auf die Fußplatte freisetzt.
Open Rails modelliert nicht den Dampf, sondern senkt den Kesseldruck und das Feuer und gibt eine Bestätigungsmeldung aus: „Der Wasserstand ist zu weit gesunken. Der Stecker ist durchgebrannt und die Lok ist ausgefallen.“ Im Grunde läuft die Lok danach im Leerlauf und es kann nichts unternommen werden, um sich zu erholen.
Heiß- oder Kaltstart
Die Lokomotive kann sowohl im Heiß- als auch im Kaltmodus gestartet werden. Im Hot-Modus wird eine Lokomotive simuliert, die mit vollem Dampfdruck einsatzbereit ist.
Der Kaltmodus simuliert eine Lokomotive, bei der gerade erst das Feuer entzündet wurde und die noch den vollen Kesseldruck aufbauen muss, bevor die volle Leistung zur Verfügung steht.
Diese Funktion kann über das Optionsmenü „Open Rails“ auf der Registerkarte „Simulation“ ausgewählt werden.
Hauptsteuerung für Dampflokomotiven
In diesem Abschnitt wird die Steuerung und Verwaltung der Dampflokomotive unter der Annahme beschrieben, dass der automatische Feuerwehrmann eingeschaltet ist. Die folgenden Bedienelemente werden normalerweise vom Fahrer in diesem Betriebsmodus verwendet:
• Zylinderhähne – ermöglichen das Ablassen von Kondenswasser aus den Zylindern. (Offene Rails-Tasten: <C> umschalten)
• Regler – regelt den Druck des in die Zylinder eingespritzten Dampfes. (Open Rails-Tasten: <D> = erhöhen, <A> = verringern)
• Reversierer – steuert den Ventiltrieb und wann der Dampf „abgeschaltet“ wird. Typischerweise wird er als Bruchteil des Zylinderhubs ausgedrückt. (Offene Rails-Tasten: <W> = erhöhen, <S> = verringern). Durch fortgesetztes Betätigen der Wor S-Taste wird eventuell die Fahrtrichtung der Lokomotive umgekehrt.
• Bremse – steuert den Betrieb der Bremsen. (Offene Rails-Tasten: <'> = erhöhen, <;> = verringern)
Empfohlene Einstellungen
Um die Leistung der Dampflokomotive realistischer darzustellen, wird empfohlen, die folgenden Einstellungen für die Auswahl im Open Rails-Optionsmenü in Betracht zu ziehen:
• Trennkupplungen
• Abhängig von der Kurvengeschwindigkeit
• Kurvenwiderstandsgeschwindigkeit
• Heißer Start
• Abhängig vom Tunnelwiderstand
Hinweis: Eine ausführlichere Beschreibung dieser Funktionen finden Sie in den entsprechenden Abschnitten des Handbuchs.
Starten einer Dampflokomotive
Öffnen Sie die Flaschenhähne. Aus Sicherheitsgründen müssen sie geöffnet bleiben, bis die Lokomotive eine Strecke zurückgelegt hat, die etwa einer durchschnittlichen Zuglänge entspricht.
Die Lokomotive sollte je nach Fahrtrichtung immer mit vollem Gang (Reverse möglichst weit oben) gestartet und die ersten paar Umdrehungen der Antriebsräder in diesem gehalten werden, bevor der Reversierer eingestellt wird.
Nachdem Sie sichergestellt haben, dass alle Bremsen gelöst sind, öffnen Sie den Regler weit genug, um den Zug zu bewegen. Dabei ist darauf zu achten, dass er nicht durchrutscht. Öffnen Sie den Regler nicht zu weit, bevor die Lokomotive Fahrt aufgenommen hat. Starkes Rutschen führt zu übermäßigem Verschleiß der Lokomotive, Störung des Feuerbetts und Abdeckung des Funkenfängers. Kommt es dennoch zu Schlupf, sollte der Regler entsprechend geschlossen und ggf. Sand aufgetragen werden.
Außerdem ermöglicht eine langsame, gleichmäßige Leistungssteigerung beim Anfahren ein schrittweises Ausfahren der Kupplungen entlang des gesamten Zuges und verringert so das Risiko von Kupplungsbrüchen.
Fahren einer Dampflokomotive
Theoretisch sollte während der Fahrt der Regler immer vollständig geöffnet sein und die Geschwindigkeit der Lokomotive wie gewünscht über den Reversierer gesteuert werden. Für einen sparsamen Dampfeinsatz ist es außerdem wünschenswert, mit möglichst niedrigen Abschaltwerten zu arbeiten, daher sollte der Reversierer bei niedrigen Werten betrieben werden, insbesondere bei hohen Drehzahlen.
Behalten Sie beim Fahren einer Dampflokomotive die folgenden Schlüsselparameter im Heads-up-Display (HUD – <F5>) im Auge, da sie dem Fahrer einen Hinweis auf den aktuellen Status und die Leistung der Lokomotive in Bezug auf die Wärmeumwandlung (Kessel) geben und Feuer) und geleistete Arbeit (Zylinder). Beachten Sie auch die oben genannten Fahrtips.

• Richtung – zeigt die Einstellung am Reversierer und die Fahrtrichtung an. Der Wert wird in Prozent angegeben, sodass beispielsweise ein Wert von 50 angibt, dass der Zylinder bei 0,5 des Hubs abschaltet.
• Gas – zeigt die Einstellung des Reglers in Prozent an.
• Dampfverbrauch – diese Werte stellen den aktuellen Dampfverbrauch pro Stunde dar.
• Kesseldruck – dieser sollte nahe dem maximalen Arbeitsdruck der Lokomotive gehalten werden.
• Wasserstand im Kessel – zeigt den Wasserstand im Kessel an. Beim Betrieb im automatischen Feuerwehrmodus sollte dies dem Reman gelingen.
• Kraftstofffüllstände – zeigen den Kohle- und Wasserstand der Lokomotive an.
Informationen zu den anderen Parametern, wie z. B. den Bremsen, finden Sie in den entsprechenden Abschnitten im Handbuch.
Für den Lokführer sind die ersten beiden Dampfparameter von entscheidender Bedeutung, da der Betrieb der Lokomotive über einen längeren Zeitraum mit einem Dampfverbrauch über dem Dampferzeugungswert zu einem sinkenden Kesseldruck führt. Wenn dies so weitergeht, verliert die Lokomotive letztendlich den Kesseldruck und kann ihre Last nicht mehr weiter ziehen.
Der Dampfverbrauch steigt mit der Geschwindigkeit der Lokomotive, daher muss der Lokführer den Regler, die Umkehrschaltung und die Geschwindigkeit der Lokomotive anpassen, um sicherzustellen, dass der optimale Dampfdruck aufrechterhalten wird. Irgendwann wird jedoch ein Punkt erreicht, an dem die Lokomotive nicht mehr schneller fahren kann, ohne dass der Dampfverbrauch die Dampferzeugung übersteigt. Dieser Punkt bestimmt die Höchstgeschwindigkeit der Lokomotive und variiert je nach Last und Gleisbedingungen.
Der KI-Feuerwehrmann in Open Rails ist nicht proaktiv, dh er kann nicht vorausschauend auf Steigungen usw. achten und wird daher erst dann Öl ins Feuer gießen, wenn sich der Zug auf der Steigung befindet. Dieser reaktive Ansatz kann zu einem Kesseldruckabfall führen, während sich das Feuer aufbaut. Wenn der Dampfverbrauch sinkt (aufgrund einer Verringerung der Drosselung, z. B. bei der Annäherung an eine Station), benötigt das Feuer ebenfalls Zeit, um die Hitze zu reduzieren, sodass der Kesseldruck zu hoch werden kann.
Um dem Spieler etwas mehr Kontrolle darüber zu geben und die Aufrechterhaltung des Kesseldrucks zu erleichtern, wurden der KI-Feuerwehrmann-Funktion folgende Tastensteuerungen hinzugefügt:
AIFireOn – (<Alt+H>) – Zwingt den KI-Feuerwehrmann, mit dem Anzünden des Feuers zu beginnen (erhöht Kesselwärme und -druck usw.) – wird normalerweise kurz vor dem Verlassen einer Station verwendet, um den Druck aufrechtzuerhalten, wenn der Dampfverbrauch steigt. Diese Funktion wird ausgeschaltet, wenn AIFireOff, AIFireReset ausgelöst wird oder wenn der Kesseldruck oder BoilerHeat den Kesselgrenzwert überschreitet.
AIFireOff – (<Strg+H>) – Zwingt den KI-Feuerwehrmann, das Feuer nicht mehr anzuheizen (ermöglicht, dass die Kesselwärme abnimmt, wenn das Feuer abfällt) – wird normalerweise bei der Annäherung an eine Station verwendet, um die Feuerwärme absinken zu lassen und so den Kesseldruck zu stoppen das Maximum überschreiten. Diese Funktion wird ausgeschaltet, wenn AIFireOn, AIFireReset ausgelöst wird oder wenn der Kesseldruck oder BoilerHeat zu niedrig absinkt.
AIFireReset – (<Strg+Alt+H>) – schaltet bei Bedarf beide oben genannten Funktionen aus.
Wenn diese Steuerelemente nicht verwendet werden, funktioniert der KI-Feuerwehrmann auf die gleiche Weise wie zuvor.
Wärmestrahlungsverlust des Dampfkessels
Dem Kessel einer Dampflokomotive geht eine gewisse Wärmemenge verloren. Ein nicht isolierter Kessel könnte viel Wärme verlieren, was sich auf die Leistung der Lokomotive auswirkt. Daher wurden die Kessel isoliert, um die Wärmeverluste zu reduzieren.
Die verlorene Wärmemenge hängt von der freiliegenden Oberfläche des Kessels und dem Temperaturunterschied zwischen dem Kessel und der Umgebungstemperatur ab. Mit zunehmender Geschwindigkeit der Lokomotive erhöht sich auch der Wärmeverlust.
OR modelliert den Wärmeverlust eines Kessels mit einigen Standardeinstellungen. Das Modell kann jedoch durch Anpassen der folgenden Einstellungen an die Lokomotive angepasst werden.
• ORTSBoilerSurfaceArea – Oberflächenbereich des Kessels/Feuerraums, der den Wärmeverlust beeinflusst. Standard-ME – (ft²)
• ORTSFractionBoilerInsulated – Anteil der Kesseloberfläche, der von der Isolierung bedeckt ist (weniger als 1)
• ORTSHeatCoefficientInsulation – Wärmeleitungskoeffizient. Standard-ME: (BTU / (ft2 / Std.) / (1 (in. / F))
Abblasen des Dampfkessels
Mit der Zeit kommt es beim Verdampfen des Dampfes aus dem Kessel zu einer Konzentration von Verunreinigungen im Kessel. Das Kesselablassventil wurde verwendet, um diese Sedimente aus dem Kessel zu entfernen, die dessen Effizienz beeinträchtigen könnten. Abhängig von der Qualität des im Kessel verwendeten Speisewassers könnte während des Betriebs der Lokomotive eine regelmäßige Abschlämmung erforderlich sein.
Das Abschlämmventil kann durch Ein- und Ausschalten der Tasten <Shft+C> betätigt werden. Alternativ kann eine Kabinensteuerung mithilfe von <ORTS_BLOWDOWN_VALVE ( x, y, z )> eingerichtet werden.
Auch ein spezieller Dampfeffekt kann hinzugefügt werden. Siehe den Abschnitt über Dampfeffekte.
Modellierung der Dampfwärme eines Dampflokomotivwagens
Überblick
In den Anfängen der Dampfschifffahrt wurden Personenwagen durch in Öfen verbranntes Feuer beheizt
innerhalb des Waggons, aber diese Art der Erwärmung erwies sich wie bei mehreren als gefährlich
In manchen Fällen fingen die Waggons tatsächlich Feuer und brannten aus.
Als sichererer Ersatz wurden eine Reihe alternativer Heizsysteme eingeführt.
Das Open-Rails-Modell basiert auf einem Direktdampfmodell, also einem Modell mit Direktdampf
In jedem Wagen sind Dampfrohre installiert, die Dampf in jeden Wagen pumpen, um die Innentemperatur in jedem Wagen zu erhöhen.
Das Wärmemodell in jedem Auto ist in Abbildung 1 unten dargestellt. Die wichtigsten Parameter
Den Betrieb des Modells beeinflussen die Werte von tc, to, tp, die darstellen
die Temperatur innerhalb des Wagens, die Umgebungstemperatur außerhalb des Wagens,
und die Temperatur des Dampfrohrs aufgrund des durchströmenden Dampfs.
Wie in der Abbildung dargestellt, besteht das Wärmemodell aus folgenden verschiedenen Elementen:
Wärmemodell für Pkw
ich. Interne Wärmemasse – die Luftmasse im Wagen (dargestellt durch Wolke)
wird auf eine für die Passagiere angenehme Temperatur erwärmt. Die zur Aufrechterhaltung der Temperatur erforderliche Energie wird durch das Luftvolumen im Wagen bestimmt.
ii. Wärmeverlust – Übertragung – im Laufe der Zeit geht Wärme durch die Wände, das Dach und die Böden des Wagens verloren (dargestellt durch ausgehende orangefarbene Pfeile). Dieser Wärmeverlust verringert die Temperatur der inneren Luftmasse.
iii. Wärmeverlust – Infiltration – auch im Laufe der Zeit beim Öffnen der Wagentüren
und an Haltestellen geschlossen ist, dringt etwas kühlere Luft in den Wagen ein (dargestellt durch nach innen gerichtete blaue Pfeile) und verringert die Temperatur der inneren Luftmasse.
iv. Dampfheizung – um die oben genannten Wärmeverluste auszugleichen, wurde Dampf durch jeden der Waggons geleitet (dargestellt durch kreisförmige rote Pfeile). Abhängig von der Wärmezufuhr aus der Dampfleitung würde die Temperatur ausgeglichen, indem die Dampfheizung mit den Wärmeverlusten verrechnet würde.

Implementierung der Wagenheizung in in Open Rails
Die Dampfheizung kann auf Dampflokomotiven, auf Diesellokomotiven mit Dampfheizkessel oder alternativ auf Spezialwagen mit eingebautem Dampfheizkessel installiert werden.
Damit die Dampfheizung in Open Rails funktioniert, muss der folgende Parameter im Motorabschnitt der ENG-Datei der Dampflokomotive enthalten sein:
MaxSteamHeatingPressure( x )
Dabei gilt: x = maximaler Dampfdruck im Heizrohr – sollte 100 psi nicht überschreiten
Wenn der obige Parameter zur Lokomotive hinzugefügt wird, erscheint im erweiterten HUD eine zusätzliche Zeile, um die Temperatur im Zug, den Druck der Dampfheizungsleitung usw. anzuzeigen.
Die Dampfheizung funktioniert nur, wenn an die Lokomotive Personenwagen angeschlossen sind oder als Heizbedarf eingestellt wurde.
Wenn die Temperatur im Inneren des Wagens unter die Temperaturgrenzen fällt, werden Warnmeldungen angezeigt.
Der Spieler kann die Zugtemperatur mithilfe der folgenden Steuerelemente steuern:
• <Alt+U> – Dampfrohrdruck (und damit Zugtemperatur) erhöhen
• <Alt+D> – Dampfrohrdruck (und damit Zugtemperatur) verringern
Das Dampfheizungssteuerventil kann durch Hinzufügen einer Motorsteuerung namens ORTSSteamHeat (w, x, y, z) konfiguriert werden. Er sollte als standardmäßiger 4-Werte-Regler konfiguriert werden.
Der Hauptzweck dieses Modells besteht darin, den Dampfverbrauch für die Heizung zu berechnen. Im Falle einer Dampflokomotive wird dadurch der verfügbare Dampf für die Lokomotive reduziert. Der Wasser- und Kraftstoffverbrauch bei der Wärmeerzeugung führt auch dazu, dass die Masse der Lokomotive oder des Dampfheizwagens reduziert wird.
Es ist zu beachten, dass die Auswirkungen der Dampfheizung je nach Jahreszeit, Zuglänge usw. variieren. In Open Rails ist eine Reihe standardmäßiger Standardparameter enthalten, die den Betrieb der Dampfheizung ermöglichen, sobald die oben genannten Änderungen implementiert wurden.
Für diejenigen, die die Dampfheizung individuell anpassen möchten, können die folgenden Parameter, die im Abschnitt „Waggondatei“ eingegeben werden können, wie folgt angepasst werden.
Der Passagier (oder andere beheizte Autos) kann mit folgenden Parametern angepasst werden:
• ORTSHeatingWindowDeratingFactor – ist der Anteil der Fahrzeugseite, der von Fenstern eingenommen wird.
• ORTSHeatingCompartmentTemperatureSet – ist die Temperatur, auf die der Autothermostat eingestellt ist.
• ORTSHeatingCompartmentPipeAreaFactor – ist ein Faktor, der die Heizfläche der Dampfheizung im Fahrgastraum anpasst.
• ORTSHeatingTrainPipeOuterDiameter – Außendurchmesser der Hauptdampfleitung, die über die gesamte Länge des Zuges verläuft.
• ORTSHeatingTrainPipeInnerDiameter – Innendurchmesser der Hauptdampfleitung, die über die gesamte Länge des Zuges verläuft.
• ORTSHeatingConnectingHoseOuterDiameter – Außendurchmesser des Verbindungsschlauchs zwischen den Wagen.
• ORTSHeatingConnectingHoseInnerDiameter – Innendurchmesser des Verbindungsschlauchs zwischen den Wagen.
Bei Brennkraftlokomotiven oder Dampfheizkesselwagen können die Parameter des Dampfheizkessels über folgende Parameter eingestellt werden:
• ORTSWagonSpecialType – kann verwendet werden, um anzugeben, ob es sich bei dem Auto um einen Kesselwagen handelt (Set =HeatingBoiler) oder ob das Auto beheizt ist (Set = Heated).
• ORTSHeatingBoilerWaterUsage – ist der Wasserverbrauch für den Dampfheizkessel und eine Tabelle mit einer Reihe von x- und y-Parametern, wobei x = Dampfverbrauch (lb/hr) und y = Wasserverbrauch (g-uk/hr).
• ORTSHeatingBoilerFuelUsage – ist der Brennstoffverbrauch für den Dampfheizkessel und eine Tabelle mit einer Reihe von x- und y-Parametern, wobei x = Dampfverbrauch (lb/h) und y = Brennstoffverbrauch (g-uk/h).
• ORTSHeatingBoilerWaterTankCapacity – ist die Speisewassertankkapazität für den Dampfkessel.
• ORTSHeatingBoilerFuelTankCapacity – ist die Brennstofftankkapazität für den Dampfkessel. Gilt nur für Wagen mit Dampfheizkessel.
Zur Unterstützung des Dampfheizmodells können auch Spezialeffekte hinzugefügt werden. Weitere Informationen finden Sie im Abschnitt „Spezielle visuelle Effekte für Lokomotiven oder Waggons“.
Dampflokomotiven – Physikalische Parameter für optimalen Betrieb
Erforderliche Eingabeparameter für ENG- und WAG-Dateien
Das OR Steam Locomotive Model (SLM) sollte mit Standard-MSTS-Dateien funktionieren; Eine optimale Leistung wird jedoch nur erreicht, wenn die folgenden Einstellungen in der ENG-Datei angewendet werden. Die folgende Liste beschreibt nur die mit dem SLM verbundenen Parameter, weitere Parameter wie Bremsen, Lichter usw. müssen noch in die Datei aufgenommen werden. Stellen Sie wie immer sicher, dass Sie eine Sicherungskopie der ursprünglichen MSTS-Datei aufbewahren.
Open Rails wurde entwickelt, um die meisten Berechnungen für den Modellierer durchzuführen, und normalerweise müssen nur die Schlüsselparameter in die ENG- oder WAG-Datei aufgenommen werden. Die im Abschnitt „Anpassungen der Lokomotivleistung“ angezeigten Parameter sollten nur dann einbezogen werden, wenn ein bestimmtes Leistungsergebnis erforderlich ist, da Standardparameter ein zufriedenstellendes Ergebnis liefern sollten.
Beim Erstellen und Anpassen von ENG- oder WAG-Dateien sollten eine Reihe von Tests durchgeführt werden, um sicherzustellen, dass die Leistung so genau wie möglich mit der tatsächlichen Lokomotive in der realen Welt übereinstimmt. Weitere Informationen zum Testen sowie einige empfohlene Testtools finden Sie auf dieser Website.
Hinweis: Diese Parameter können sich im Zuge der Weiterentwicklung von Open Rails ändern.
Anmerkungen:
• Neu – Parameternamen, die mit ORTS beginnen, bedeuten, dass sie im Rahmen der OpenRails-Entwicklung hinzugefügt wurden
• Vorhanden – Parameternamen, die nicht mit ORTS beginnen, sind ursprünglich in MSTS oder wurden über MSTS BIN hinzugefügt
Mögliche Referenzinformationen zur Lokomotive:
ich. Daten zu Dampflokomotiven
ii. BeispielWiki-Lokomotivdaten
iii. Testressourcen für Open-Rails-Dampflokomotiven
| Parameter | Beschreibung | Empfohlene Einheiten | Typische Beispiele |
|---|---|---|---|
| Allgemeine Informationen (Bereich Motor) | |||
| ORTSSteamLocomotiveType ( x ) | Beschreibt den Typ der Lokomotive | Einfach, zusammengesetzt, ausgerichtet | (Simple) (Compound) (Geared) |
| WheelRadius ( x ) | Radius der Antriebsräder | Entfernung | (0.648m) (36in) |
| MaxSteamHeatingPressure ( x ) | Maximaler Druck im Dampfheizsystem für Personenwagen | Pressure, NB: normally < 100 psi | (80psi) |
| Boiler Parameters (Engine section) | |||
| ORTSSteamBoilerType ( x ) | Beschreibt den Kesseltyp | Saturated, Superheated | (Saturated) (Superheated) |
| BoilerVolume ( x ) | Volumen des Kessels. Dieser Parameter ist nicht übermäßig kritisch. | Volume, where an act. value is n/a, use approx. EvapArea / 8.3 | (“220*(ft^3)”) (“110*(m^3)”) |
| ORTSEvaporationArea ( x ) | Verdampfungsbereich des Kessels | Fläche | (“2198*(ft^2)”) (“194*(m^2)”) |
| MaxBoilerPressure ( x ) | Maximaler Kesselbetriebsdruck (Manometer) | Druck | (200psi) (200kPa) |
| ORTSSuperheatArea ( x ) | Überhitzungsheizbereich | Fläche | (“2198*(ft^2)”) (“194*(m^2)” ) |
| Lok-Tender-Info (Wagenabschnitt – überschreibt die Werte im Motorabschnitt) | |||
| ORTSTenderWagonWaterMass ( x ) | Wasser im Angebot | Masse | (36500lb) (16000kg) |
| ORTSTenderWagonCoalMass ( x ) | Kohle im Tender | Masse | (13440lb) (6000kg) |
| Locomotive Tender Info (Engine section) | |||
| MaxTenderWaterMass ( x ) | Wasser im Tender | Masse | (36500lb) (16000kg) |
| MaxTenderCoalMass ( x ) | Kohle im Tender | Masse | (13440lb) (6000kg) |
| IsTenderRequired ( x ) | Lokomotive erfordert einen Tender | 0 = Nein, 1 = Ja | (0) (1) |
| Fire (Engine section) | |||
| ORTSGrateArea ( x ) | Feuerrostbereich der Lokomotive | Fläche | (“2198*(ft^2)”) (“194*(m^2)”) |
| ORTSFuelCalorific ( x ) | Brennwert des Kraftstoffs | Für Kohle verwenden Sie 13700 BTU/Pfund | (13700btu/lb) (33400kj/kg) |
| ORTSSteamFiremanMaxPossibleFiringRate ( x ) | Maximale Kraftstoffmenge, die ein Feuerwehrmann in einer Stunde schaufeln kann. (Massenstrom) | Als Definition verwenden: UK: 3000 lb/h, USA: 5000 lb/h, AU: 4200 lb/h | (4200lb/h) (2000kg/h) |
| SteamFiremanIsMechanicalStoker ( x ) | Mechanischer Heizer = große Kohlezufuhrmenge | Boolescher Wert, 0 = kein Heizer, 1 = Heizer | ( 1 ) |
| Dampfzylinder (Motorabschnitt) | |||
| NumCylinders ( x ) | Anzahl Dampfzylinder | Boolescher Wert | ( 2 ) |
| CylinderStroke ( x ) | Cylinder diameter | Entfernung | (26in) (0.8m) |
| CylinderDiameter ( x ) | Anzahl der Dampf-LP-Zylinder (nur Verbundlokomotive) | Entfernung | (21in) (0.6m) |
| LPNumCylinders ( x ) | Hublänge des LP-Zylinders (nur Verbundlokomotive) | Boolescher Wert | ( 2 ) |
| LPCylinderStroke ( x ) | Durchmesser des LP-Zylinders (nur Verbundlokomotive) | Entfernung | (26in) (0.8m) |
| LPCylinderDiameter ( x ) | Durchmesser des LP-Zylinders (nur Verbundlokomotive) | Entfernung | (21in) (0.6m) |
| Parameter | Beschreibung | Empfohlene Einheiten | Typische Beispiele |
|---|---|---|---|
| Reibung (Wagenabschnitt) | |||
| ORTSDavis_A ( x ) | Gleit- oder Rollenlager + mechanische Reibung | N, lbf. Verwenden Sie FCalc zur Berechnung | (502.8N) (502.8lb) |
| ORTSDavis_B ( x ) | Flanschreibung | Nm/s, lbf/mph. Verwenden Sie FCalc | (1.5465Nm/s) (1.5465lbf/mph) |
| ORTSDavis_C ( x ) | Luftwiderstandsreibung | Nm/s^2, lbf/mph^2 Verwenden Sie FCalc | (1.43Nm/s^2) (1.43lbf/mph^2) |
| ORTSBearingType ( x )vis_C ( x ) | Lagertyp, standardmäßig ist Reibung | Rolle, Reibung, niedrig | ( Roller ) |
| Reibung (Motorabschnitt) | |||
| ORTSDriveWheelWeight ( x ) | Gesamtgewicht auf den Antriebsrädern der Lokomotive | Masse, weglassen, falls unbekannt | (2.12t) |
| Curve Speed Limit (Wagon section) | |||
| ORTSUnbalancedSuperElevation ( x ) | Bestimmt den Betrag des Überhöhungsdefizits, der auf die Beförderung angewendet wird | Entfernung, weglassen, falls unbekannt | (3in) (0.075m) |
| ORTSTrackGauge ( x ) | Spurweite | Entfernung, weglassen, falls unbekannt | (4ft 8.5in) ( 1.435m ) ( 4.708ft) |
| CentreOfGravity ( x, y, z ) | Definiert den Schwerpunkt einer Lokomotive oder eines Waggons | Entfernung, weglassen, falls unbekannt | |
| Kurvenreibung (Wagenabschnitt) | |||
| ORTSRigidWheelBase ( x ) | Rigid wheel base of vehicle | Entfernung, weglassen, falls unbekannt | (5ft 6in) (3.37m) |
| Lokomotivgetriebe (Abschnitt „Motor“ – Nur erforderlich, wenn die Lokomotive über ein Getriebe verfügt) | |||
| ORTSSteamGearRatio ( a, b ) | Ratio of gears | Numerisch | (2.55, 0.0) |
| ORTSSteamMaxGearPistonRate ( x ) | Max speed of piston | Fuß/Min | ( 650 ) |
| ORTSSteamGearType ( x ) | Fixed gearing or selectable gearing | Fest, Auswählen | (Fixed) (Select) |
| ORTSGearedTractiveEffortFactor ( x ) | Factor to include in TE calculation | Fest | (Fixed) |
| Anpassungen der Lokomotivleistung (Motorabschnitt – optional, für erfahrene Modellbauer) | |||
| ORTSBoilerEvaporationRate ( x ) | Multipl. factor for adjusting maximum boiler steam output | Zwischen 10–15. Bei Nichtgebrauch weglassen | (15.0) |
| ORTSBurnRate ( x, y ) | Tabular input: Coal combusted (y) to steam generated (x) | x – lbs, y – kg, Reihe von x- und y-Werten. Lassen Sie es weg, wenn es nicht verwendet wird | |
| ORTSCylinderEfficiencyRate ( x ) | Multipl. factor for steam cylinder (force) output | Unbegrenzt, bei Nichtgebrauch weglassen | (1.0) |
| ORTSBoilerEfficiency (x, y) | Tabular input: boiler efficiency (y) to coal combustion (x) | x – lbs/ft2/h, Reihe von x- und y-Werten. Lassen Sie es weg, wenn es nicht verwendet wird | |
| ORTSCylinderPortOpening ( x ) | Size of cylinder port opening | Zwischen 0,05 und 0,12. Bei Nichtgebrauch weglassen | (0.085) |
| ORTSCylinderInitialPressureDrop ( x, y ) | Tabular input: wheel speed (x) to pressure drop factor (y) | x – U/min, Reihe von x- und y-Werten. Lassen Sie es weg, wenn es nicht verwendet wird | |
| ORTSCylinderBackPressure ( x, y ) | Tabular input: Loco indicated power (x) to backpressure (y) | x – hp, y – psi(g), Reihe von x- und y-Werten. Lassen Sie es weg, wenn es nicht verwendet wird |
Spezielle visuelle Effekte für Lokomotiven oder Waggons
Dampfauspuffanlagen einer Dampflokomotive und andere spezielle visuelle Effekte können in OR modelliert werden, indem entsprechende visuelle Effekte im Abschnitt „SteamSpecialEffects“ der ENG-Datei der Dampflokomotive, im Abschnitt „DieselSpecialEffects“ der ENG-Datei dieser Diesellokomotive oder im Abschnitt „SpecialEffects“ einer relevanten Datei definiert werden Waggon (einschließlich Diesel-, Dampf- oder Elektrolokomotiven).
OR unterstützt die folgenden speziellen visuellen Effekte in einer Dampflokomotive:
• Dampfzylinderhähne (mit den Namen „Cylinders11FX“, „Cylinders12FX“, „Cylinders21FX“, „Cylinders22FX“, „Cylinders31FX“, „Cylinders32FX“, „Cylinders41FX“, „Cylinders42FX“) – diese Effekte stellen den austretenden Dampf dar, wenn die Hähne der Dampfzylinder geöffnet werden. Die Effekte sollen den vor und hinter jedem Kolbenhub austretenden Dampf darstellen. Die Zahlen in den Wertnamen repräsentieren zum einen den Zylinder und zum anderen die Zylinderposition, also „11“ = Zylinder 1, Vorwärtshub, „12“ = Zylinder 1, Rückwärtshub. Diese Effekte treten immer dann auf, wenn die Zylinderhähne geöffnet werden und ausreichend Dampfdruck am Zylinder vorhanden ist, um den Dampfaustritt zu bewirken, typischerweise wenn der Regler geöffnet ist (> 0 %). Hinweis: „CylindersFX“ und „Cylinders2FX“ sollten jetzt als Legacy-Parameter betrachtet und idealerweise nicht verwendet werden.
• Zylinderauslass (mit den Namen „CylinderSteamExhaust1FX“, „CylinderSteamExhaust2FX“, „CylinderSteamExhaust3FX“, „CylinderSteamExhaust4FX“) – diese Effekte stellen den Dampf dar, der am Ende jedes Hubs aus den Zylindern austritt. Typischerweise wird dieser Dampf über einen zurückgeführt
Blasrohr durch den Schornstein, um den Zug im Feuerraum und im Kessel zu verbessern. Die oben genannten Parameter repräsentieren bis zu 4 einzelne Dampfzylinder.
• Stack (mit dem Namen StackFX) – stellt die Schornsteinemissionen dar. Dieser Effekt tritt ständig in unterschiedlicher Form auf, abhängig von den Ring- und Dampfbedingungen der Lokomotive.
• Kompressor (CompressorFX genannt) – stellt ein Dampfleck aus dem Luftkompressor dar. Wird nur angezeigt, wenn der Kompressor in Betrieb ist.
• Generator (genannt GeneratorFX) – stellt die Emission des Turbogenerators der Lokomotive dar. Dieser Effekt wirkt kontinuierlich. Wenn die Lokomotive nicht mit einem Turbogenerator ausgestattet ist, wird empfohlen, diesen E ekt aus der Effekte-Sektion wegzulassen, um sicherzustellen, dass er nicht im OR angezeigt wird.
• Sicherheitsventile (genannt SafetyValvesFX) – stellen die Entladung der Dampfventile dar, wenn der maximale Kesseldruck überschritten wird. Es erscheint immer dann, wenn das Sicherheitsventil betätigt wird.
• Pfeife (mit dem Namen WhistleFX) – repräsentiert den Dampfausstoß der Pfeife.
• Injektoren (genannt Injektoren1FX und Injektoren2FX) – stellen den Dampfaustritt aus dem Dampfüberlaufrohr der Injektoren dar. Sie erscheinen immer dann, wenn die entsprechenden Einspritzdüsen in Betrieb sind.
• Ejektoren (genannt SmallEjectorFX und LargeEjectorFX) – stellt den Dampfausstoß aus den Dampfejektoren dar, die mit der Vakuumbremsung verbunden sind. Sie erscheinen immer dann, wenn die jeweiligen Auswerfer in Betrieb sind.
• Kessel-Abschlämmventile (genannt BlowdownFX) – stellen den Auslass des Dampfkessel-Abschlämmventils dar. Es erscheint immer dann, wenn das Abblaseventil betätigt wird. OR unterstützt die folgenden speziellen visuellen Effekte in einer Diesellokomotive:
• Auspuff (mit dem Namen Exhaustnumber) – ist ein Dieselauspuff. Mehrere Abgase können definiert werden, indem einfach der numerische Wert der Zahl nach dem Schlüsselwort „Auspuff“ angepasst wird. OR unterstützt die folgenden speziellen visuellen Effekte in einem Waggon (auch im Waggonabschnitt einer ENG-Datei):
• Dampfheizkessel (mit dem Namen HeatingSteamBoilerFX) – stellt die Abgase eines Dampfheizkessels dar. Typischerweise wird dies in einem Diesel- oder Elektrozug installiert, da die Dampfheizung direkt von einer Dampflokomotive bereitgestellt wurde.
• Wagon Generator (genannt WagonGeneratorFX) – stellt den Auspuff für einen Generator dar. Dieser Generator diente zur Bereitstellung zusätzlicher Hilfsenergie für den Zug und hätte für die Klimaanlage, Heizung, Beleuchtung usw. verwendet werden können.
• Wagon Smoke (genannt WagonSmokeFX) – repräsentiert den Rauch, der beispielsweise von einem Holzfeuer kommt. Dabei könnte es sich um eine Heizungsanlage im Wachwagen des Zuges gehandelt haben.
• Heizschlauch (genannt HeatingHoseFX) – stellt den Dampf dar, der aus einer Dampfrohrverbindung zwischen Waggons entweicht.
• Kondensatableiter des Heizraums (genannt HeatingCompartmentSteamTrapFX) – stellt den Dampf dar, der aus dem Kondensatableiter unter einem Fahrgastraum entweicht.
• Heizungs-Hauptrohr-Kondensatableiter (mit dem Namen HeatingMainPipeSteamTrapFX) – stellt den Dampf dar, der aus einem Kondensatableiter in der unter dem Pkw verlaufenden Hauptdampfleitung entweicht. Hinweis: Wenn ein Dampfeffekt nicht in den SteamSpecialEffects, DieselSpecialEffects oder dem definiert ist
Wenn Sie den SpecialEffects-Abschnitt einer ENG/WAG-Datei verwenden, wird er in der Simulation nicht angezeigt. Wenn eine der Koordinaten Null ist, wird der Effekt ebenfalls nicht angezeigt. Jeder Effekt wird durch Einfügen eines Codeblocks in die ENG/WAG-Datei definiert, der dem unten gezeigten ähnelt:
Cylinders11FX (
-1.0485 1.0 2.8
-1 0 0
0.1
)
Der Codeblock besteht aus folgenden Elementen:
• Effektname – wie oben beschrieben,
• Wirkungsort auf der Lokomotive (angegeben als x-, y-, z-Versatz in Metern vom Ursprung der Wagenform)
• Wirkungsrichtung der Emission (angegeben als Normale x, y und z)
• Effektdüsenbreite (in Metern)
Hilfswassertender
Um die Wassertransportkapazität einer Dampflokomotive zu erhöhen, wurde manchmal ein Hilfstender (oder in Australien Wassertöpfer genannt) an die Lokomotive gekoppelt. Dieser Hilfstender würde über Verbindungsleitungen den Lokomotivtender mit zusätzlichem Wasser versorgen.
Wenn die Verbindungsrohre zwischen Loktender und Hilfstender geöffnet würden, würde sich der Wasserstand in beiden Fahrzeugen typischerweise auf gleicher Höhe ausgleichen.
Um diese Funktion in Open Rails zu implementieren, muss in der WAG-Datei eines geeigneten Wasserfahrzeugs der folgende Parameter enthalten sein.
ORTSAuxTenderWaterMass ( 70000lb ) Die Maßeinheiten sind Masse.
Wenn der Hilfstender an die Lokomotive gekoppelt ist, zeigt die Tenderzeile im LOKOMOTIVEN-INFORMATIONS-HUD die beiden Tender und deren Wasserkapazität an. Wasser (C) ist die kombinierte Wasserkapazität der beiden Tender, während Wasser (T) die Wasserkapazität des Lokomotivtenders und Wasser (A) die Kapazität des Hilfstenders angibt (wie unten gezeigt).
Damit der Hilfstender an einer Wassertankstelle befüllt werden kann, muss der WAG-Datei auch eine Wasserfrachtanimation hinzugefügt werden. (Weitere Einzelheiten finden Sie unter Frachtanimationen.)
8.2.4 Steuerwagen ohne Antrieb
Dieses Modul simuliert den Steuerstand eines DMU-Wagensatzes. Das Führerhaus befindet sich typischerweise in einem antriebslosen Anhängerwagen, der an einen angetriebenen Wagen angeschlossen ist, um seine Antriebskraft für den Vorwärtsantrieb des Zuges bereitzustellen.
Abgesehen von der Antriebskraft sollte sich das Auto (und die Kabinensteuerung) genauso verhalten wie eine Lokomotive.
Um ein Steuerfahrzeug einzurichten, muss eine ENG-Datei erstellt werden, deren Typparameter (Steuerung) im Motorabschnitt der ENG-Datei festgelegt ist.
Der Steuerwagen verwendet die meisten der gleichen Parameter für seine Konfiguration wie eine angetriebene Lokomotive. Die wichtigsten Elemente, die weggelassen werden können, sind Parameter im Zusammenhang mit Leistung, Antriebskraft, Dieselmotoren, einigen Bremselementen wie Kompressor und Hauptluftbehälter sowie einige Dieseleffekte (da es keinen Dieselmotor gibt).
Einige der Kabinenüberwachungsanzeigen bieten Einblick in die Vorgänge im angetriebenen Fahrzeug. Dazu sucht OR nach dem „nächsten“ angetriebenen Auto in der Nähe des Kontrollautos und nutzt dessen Informationen. Wenn der Steuerwagen mit einem Triebwagen mit Getriebe „verbunden“ ist, muss der Steuerwagen über eine Getriebesteuerung verfügen. Damit OR es einrichten kann, muss GearBoxControllerNumberofGears ( x ), wobei x = Anzahl der Gänge im zugehörigen Triebwagen, zum Motorabschnitt der ENG-Datei hinzugefügt werden.
8.3 Mehrere Lokomotiveneinheiten im gleichen Verbund
In einem OR-Spielerzug wird eine Lokomotive vom Spieler gesteuert, während die anderen Einheiten standardmäßig durch die MU-Signale (Multiple Unit) des Zuges für Bremsen und Drosselklappenstellung usw. gesteuert werden. Die vom Spieler gesteuerte Lokomotive erzeugt die MU-Signale, die sind an jede Einheit im Zug weitergegeben.
8.3.1 Verteilte Leistung
Dies gilt nur für Züge, die von Diesellokomotiven mit dynamischen Bremsen befördert werden.
In amerikanischen Langgüterzügen können weitere Lokomotivgruppen vorhanden sein; Eine Lokomotivengruppe ist definiert als eine Gruppe von Lokomotiven, zwischen denen sich keine Waggons befinden. Gruppen, die sich von der Gruppe einschließlich der Führungslokomotive unterscheiden, werden als Remote-Gruppen bezeichnet.
Remote-Gruppen können in zwei Modi gesteuert werden: synchron oder asynchron. Lokomotiven im Spielerzug können einer der beiden oben genannten Kontrollgruppen zugeordnet werden. Daher kann jede Lokomotivengruppe (mit Ausnahme der führenden Gruppe, die immer zur Sync-Kontrollgruppe gehört) entweder Teil der Sync- oder der Async-Kontrollgruppe sein. Wenn jedoch eine Lokomotivengruppe Teil der Async-Kontrollgruppe ist, gilt dies für alle Lokomotivengruppen
Dahinter muss auch Teil der Async-Kontrollgruppe sein.
Die Anordnung kann während der Fahrt geändert werden, was im echten Leben über den Bordcomputer der Lokomotive (z. B. Locotrol) erfolgt.
Diese Funktionalität ist im amerikanischen Langzuggüterverkehr erforderlich. Ein Beispiel für einen Anwendungsfall ist, wenn ein Zug die Besteigung eines Bergpasses beendet hat. Zu diesem Zeitpunkt müssen die Führungslokomotiven mit der dynamischen Bremsung bergab fahren, während die Nachlauflokomotiven das Zugende weiterhin bergauf schieben müssen. Der Lokführer hat die Möglichkeit, den Zaun zu bauen, also die letzte Lokgruppe in die Async-Kontrollgruppe zu verschieben.
Während Lokomotiven in der Synchronsteuerungsgruppe immer die Traktions- und dynamischen Bremseinstellungen der führenden (vom Menschen gesteuerten) Lokomotive kopieren, können diese bei Lokomotiven in der Asynchronsteuerungsgruppe unabhängig voneinander angepasst werden. Andere Steuerungen, wie z. B. Richtungsumkehr und Druckluftbremse, sind im gesamten Zug immer synchronisiert, und eine Änderung der Richtungsumkehreinstellung oder die Betätigung von Druckluftbremsen zwingt asynchron gesteuerte Lokomotiven dazu, in den Leerlauf zurückzukehren.
Der Zaun zwischen synchronen und asynchronen Kontrollgruppen kann entlang des Zuges hin und her bewegt werden. Dies ist nützlich, wenn der Zugverband eine oder mehrere Mittelzug-Lokomotivengruppen enthält. Es ist jedoch nicht möglich, den Zaun zu verschieben, um zwei direkt miteinander verbundene Lokomotiven zu trennen: Solche Lokomotiven können nur zusammen umgestellt werden.
Wenn der Lokführer den Zaun abbaut, indem er ihn hinter die letzte Lokomotivengruppe verschiebt, werden alle Lokomotivengruppen wieder in die Synchronkontrollgruppe verschoben, und daher arbeiten alle Lokomotiven synchron mit der führenden. Der All-Sync-Betrieb ist auch die Standardeinstellung, wenn das Spiel startet.
Die Traktions- und dynamischen Bremseinstellungen für die Synchronisierungsgruppe können mit den üblichen Tasten <A> und <D> gesteuert werden. Zur Steuerung der asynchronen Gruppeneinstellungen stehen die folgenden zusätzlichen Steuerelemente zur Verfügung:
• Nach hinten verschieben – <Strg+Umschalt+O>: Verschieben Sie eine Lokomotivengruppe nach hinten (asynchron) zur Kontrollgruppe (Zaun wird zur Vorderseite des Zuges verschoben).
• Nach vorne verschieben – <Strg+O>: Eine Lokomotivengruppe zur vorderen (Synchronisierungs-)Kontrollgruppe verschieben (Zaun wird in Richtung des hinteren Teils des Zuges verschoben).
• Traktion – <Strg+L>: Asynchrone Gruppe in den Traktionsmodus schalten.
• Leerlauf – <Strg+Umschalt+L>: Asynchrone Gruppe in den Ruhezustand versetzen.
• Bremse – <Strg+'> (Taste zwei Positionen rechts von L): Async-Gruppe in den dynamischen Bremsmodus schalten.
• Mehr – <Strg+U>: Erhöhen Sie die Traktion der asynchronen Gruppe oder die dynamische Bremse um eine Stufe, abhängig von der Moduseinstellung.
• Weniger – <Strg+Umschalt+U>: Asynchrone Gruppentraktion oder dynamische Bremse je nach Moduseinstellung um eine Stufe verringern.
HUD zeigt die sync–async-Konfiguration in lineMultiple Units auf der Hauptseite. Wenn es z.B. lautet: „2–2 | 1“, dann bedeutet dies, dass Doppelzuglokomotiven im vorderen und mittleren Zug synchron mit der führenden Einheit gesteuert werden, während die hintere Schubeinheit asynchron unabhängig gesteuert wird. Der tatsächlich eingestellte Wert der Traktion oder dynamischen Bremse der Async-Gruppe wird in den Zeilen Throttle bzw. Dynamic Brake in Klammern angezeigt, z. B.:
Leistungshebel: 0 % (50 %).
Informationen und Befehle zur verteilten Stromversorgung können auch über Cabview-Bedienelemente angezeigt und bedient werden, wie hier erläutert
Die vollständige Konfiguration der verteilten Stromversorgung wird auf der erweiterten HUD-Seite „Info zur verteilten Stromversorgung“ angezeigt, auf der der Status aller Lokomotiven im Zug angezeigt wird, sowie im Fenster „Zug-DPU-Info“, das nach Drücken von <Umschalt+F9> angezeigt wird die nur den Zustand der ersten Lokomotive jeder Lokgruppe anzeigt, wie er auch bei Darstellungen realer Lokomotiven vorkommt.

8.3.2 Lokomotiven von KI-Zügen
Bei KI-Zügen generiert die KI-Software direkt die Fernbedienungssignale, d. h. es gibt keine spielergesteuerte Lokomotive. Auf diese Weise nutzen alle Motoren den gleichen physikalischen Code für Leistung und Reibung.
Dieses Softwaremodell stellt sicher, dass sich nicht vom Spieler gesteuerte Engines genauso verhalten wie die vom Spieler gesteuerten.
8.4 Bremsen in Open Rails
Die Open-Rails-Software hat in der aktuellen Version eine eigene Bremsphysik implementiert. Es basiert auf dem Druckluftbrems- und Steuerungssystem 26C und 26F von Westinghouse. Beim Open-Rails-Bremsen wird die Art des Bremsens aus der .eng-Datei analysiert, um festzustellen, ob die Bremsphysik Passagier- oder Frachtstandards verwendet, ob Selbstüberlappung oder nicht.
Beim abgestuften Lösen der Bremsen gibt es zwei unterschiedliche Merkmale. Wenn die Bremssteuerung des Zuges über eine selbstschneidende Kerbe verfügt, die eine abgestufte Freigabe ermöglicht, kann die Höhe des Bremsdrucks durch Ändern der Steuerung in dieser Kerbe nach oben oder unten angepasst werden. Wenn die Kerbe kein abgestuftes Lösen ermöglicht, können die Bremsen nur in dieser Kerbe erhöht werden und zum Lösen der Bremsen ist eine der Lösepositionen erforderlich. Die Liste der Notches mit abgestufter Freigabe finden Sie hier.
Um eine abgestufte Auslösung zu erreichen, müssen die Bremsventile in den Waggons über diese Fähigkeit verfügen. Wenn der Parameter BrakeEquipmentType() im Abschnitt Wagon() „Graduated_release_triple_valve“ oder „Distributor“ enthält, wird der Bremszylinderdruck so reguliert, dass er proportional zur Differenz zwischen dem Notbehälterdruck und dem Bremsleitungsdruck bleibt. Wenn das Bremsventil stattdessen ein „Triple_valve“ ist,
Wenn der Druck in der Bremsleitung über den Druck im Hilfsbehälter ansteigt, wird der Druck im Bremszylinder mit einer durch die Halteeinstellung bestimmten Rate vollständig abgebaut.
Wenn Sie unter „Menü > Optionen“ die Option „Druckluftbremsen mit abgestufter Freigabe“ auswählen, wird eine abgestufte Freigabe der selbstlappenden Kerben in der Bremssteuerung erzwungen. Es wird auch ein abgestuftes Lösen der Bremsen in Dreifachventilen erzwingen. Diese Option sollte deaktiviert sein, außer bei Kompatibilitätsproblemen mit alten MSTS-Beständen.
Folgende Bremstypen sind in OR implementiert:
• Vakuum einzeln
• Luft-Einrohr
• Luft-Doppelrohr
• EP (elektropneumatisch)
• Single-Transfer-Rohr (Luft und Vakuum)
Im Folgenden wird die Funktionsweise von Druckluft-Einrohrbremsen allgemein beschrieben.
Der Hilfsbehälter muss über die Bremsleitung geladen werden. Abhängig von der Einstellung der WAG-Dateiparameter kann dies das Lösen der Bremse verzögern. Der Hilfsspeicher wird ebenfalls vom Notspeicher geladen (bis beide gleich groß sind und dann beide aus der Leitung geladen werden).
Durch Erhöhen des Werts für die Laderate der Bremsleitung (psi/s) wird die Laderate gesteuert. Durch Erhöhen des Werts verkürzt sich die Zeit, die zum Aufladen des Zugs erforderlich ist. während eine Verringerung des Werts die Ladegeschwindigkeit verlangsamt. Dies kann jedoch durch die Parametereinstellungen der Zugbremssteuerung in der ENG-Datei eingeschränkt sein. Der Bremsleitungsdruck kann nicht schneller ansteigen als der Druck im Ausgleichsbehälter.
Der Standardwert 21 sollte dazu führen, dass die Aufladezeit bei einem vollständigen Satz etwa 1 Minute pro 12 Autos beträgt. Wenn der Wert für die Laderate der Bremsleitung (psi/s) auf 1000 eingestellt ist, werden die Funktionen für den Leitungsdruckgradienten und einige, aber nicht alle anderen neuen Bremsfunktionen deaktiviert.
Die Ladezeit des Bremssystems hängt wie vorgesehen von der Zuglänge ab, es gibt jedoch derzeit keine Modellierung der Hauptbehälter und Kompressoren.
8.4.1 Train Brake Controller Positions
Für die Zugbremse können folgende Rastpositionen definiert werden
Engine(EngineControllers(Brake_Train:
BREMSLÖSE- und FAHRT-Einträge
Eintrag in der .eng-Datei: TrainBrakesControllerOverchargeStart
• Betrieb: Luft
• Bremssysteme: Luft-Einrohr, Luft-Doppelrohr, EP
• Beschreibung: RELEASE oder OVERCHARGE
Löst schnell die Druckluftbremsen und lädt die Luftbehälter auf
Die Bremsleitung des Zugs ist möglicherweise überlastet (bis zu ORTSTrainBrakesControllerMaxOverchargePressure) und kehrt nach und nach zum normalen Arbeitsdruck zurück, wenn der Controller ausgeschaltet ist
in eine Freigabeposition bewegt. (Die Rate wird von ORTSTrainBrakesControllerOverchargeEliminationRate bestimmt.)
Eintrag in der .eng-Datei: TrainBrakesControllerFullQuickReleaseStart
• Betrieb: Luft, EP, Vakuum
• Bremssysteme: Luft-Einrohr, Luft-Doppelrohr, EP, Vakuum-Einrohr
• Beschreibung: RELEASE oder QUICK RELEASE
– Druckluftbremsen: Löst die Druckluftbremsen schnell und lädt die Luftbehälter auf, ohne die Zugleitung zu überlasten.
– EP-Bremsen: Löst die EP-Bremsen schnell.
– Vakuumbremsen:
* Brennkraft- und Elektrolokomotive:
· Betreibt die Absaugung mit hoher Geschwindigkeit. Löst Vakuumbremsen schnell und lädt Vakuumbehälter auf.
* Dampf mit Kombi-Ejektor:
· Betreibt den großen Ejektor mit voller Leistung. Löst Vakuumbremsen schnell und lädt Vakuumbehälter auf.
* Dampf mit separatem Ejektor:
· Verbindet die Bremsleitung mit dem/den Ejektor(en) und/oder der Vakuumpumpe. Die Bremsen können durch Betätigen eines großen oder kleinen Auswerfers gelöst werden.
Eintrag in der .eng-Datei: TrainBrakesControllerReleaseStart
• Betrieb: Luft, EP, Vakuum
• Bremssysteme: Luft-Einrohr, Luft-Doppelrohr, EP, Vakuum-Einrohr
• Beschreibung: RUNNING oder RELEASE
– Druckluftbremsen: Hält den Arbeitsdruck in der Zugleitung aufrecht. Bremsen langsam lösen.
– EP-Bremsen: Bremsen lösen.
– Vakuumbremsen:
* Brennkraft- und Elektrolokomotiven:
· Verbindet die Bremsleitung mit dem Auspuff. Hält das Vakuum im Zugrohr aufrecht. Bremsen langsam lösen.
* Dampf mit Kombi-Ejektor:
· Betreibt den großen Ejektor mit voller Leistung. Löst Vakuumbremsen schnell und lädt Vakuumbehälter auf.
* Dampf mit separatem Ejektor:
· Verbindet die Bremsleitung mit dem/den Ejektor(en) und/oder der Vakuumpumpe. Die Bremsen können durch Betätigen eines großen oder kleinen Auswerfers gelöst werden.
LAP-, HOLDING- und NEUTRAL-Einträge
Eintrag in der .eng-Datei: TrainBrakesControllerRunningStart
• Betrieb: Luft, EP, Vakuum
• Bremssysteme: Luft-Einrohr, Luft-Doppelrohr, EP, Vakuum-Einrohr
• Beschreibung: LAP oder RUNNING
– Druckluftbremsen: Der Zugleitungsdruck wird bei jedem Druck gehalten und Leckagen werden ausgeglichen.
– EP-Bremsen: Der Bremsvorgang wird auf einem beliebigen Wert gehalten.
– Vakuumbremsen:
* Brennkraft- und Elektrolokomotiven:
· Das Vakuum in der Zugleitung wird auf jedem Wert gehalten und Leckagen werden kompensiert.
* Dampf mit Kombi-Ejektor:
· Verbindet die Bremsleitung mit einem kleinen Ejektor und/oder einer Vakuumpumpe. Hält das Vakuum aufrecht. Die Bremsen können durch Betätigen eines kleinen Auswerfers gelöst werden.
* Dampf mit separatem Ejektor:
· Verbindet die Bremsleitung nur mit dem kleinen Ejektor und/oder der Vakuumpumpe.
Eintrag in der .eng-Datei: TrainBrakesControllerSelfLapStart
• Betrieb: Luft, EP, Vakuum
• Bremssysteme: Luft-Einrohr, Luft-Doppelrohr, EP, Vakuum-Einrohr
• Beschreibung: LAP
– Druckluftbremsen: Der Zugleitungsdruck wird bei jedem Druck gehalten und Leckagen werden ausgeglichen.
– EP-Bremsen: Der Bremsvorgang wird auf einem beliebigen Wert gehalten.
– Vakuumbremsen: Das Vakuum in der Zugleitung wird auf einem beliebigen Wert gehalten und Leckagen werden ausgeglichen.
Eintrag in der .eng-Datei: TrainBrakesControllerHoldStart (älteres MSTS-Einträge)
• Betrieb: Luft, EP, Vakuum
• Bremssysteme: Luft-Einrohr, Luft-Doppelrohr, EP, Vakuum-Einrohr
• Beschreibung: LAP
– Alle Bremstypen unverändert beibehalten.
Eintrag in der .eng-Datei: TrainBrakesControllerEPHoldStart
• Bedienung: EP
• Bremssysteme: EP
• Beschreibung: HOLD EP
– EP-Bremsen: Einstellung wird ohne Einfluss auf die Zugluftleitung gehalten.
Eintrag in der .eng-Datei: TrainBrakesControllerHoldLappedStart
• Betrieb: Luft, EP, Vakuum
• Bremssysteme: Luft-Einrohr, Luft-Doppelrohr, EP, Vakuum-Einrohr
• Beschreibung: LAP oder NEUTRAL
– Druckluftbremsen: Der Zugleitungsdruck wird ohne Kompensation von Leckagen gehalten.
– EP-Bremsen: Der Bremsvorgang wird auf einem beliebigen Wert gehalten.
– Vakuumbremsen: Das Vakuum in der Zugleitung wird ohne Kompensation von Leckagen gehalten.
Eintrag in der .eng-Datei: TrainBrakesControllerNeutralHandleOffStart
• Betrieb: Luft, EP, Vakuum
• Bremssysteme: Luft-Einrohr, Luft-Doppelrohr, EP, Vakuum-Einrohr
• Beschreibung: LAP oder NEUTRAL
– Druckluftbremsen: Der Zugleitungsdruck wird ohne Kompensation von Leckagen gehalten.
– EP-Bremsen: Der Bremsvorgang wird auf einem beliebigen Wert gehalten.
– Vakuumbremsen: Das Vakuum in der Zugleitung wird ohne Kompensation von Leckagen gehalten.
SELBST LAPPENDE ANWENDUNGS-Einträge
Eintrag in der .eng-Datei: TrainBrakesControllerMinimalReductionStart
• Betrieb: Luft, Vakuum
• Bremssysteme: Luft-Einrohr, Luft-Doppelrohr, Vakuum-Einrohr
• Beschreibung: ERSTE WARTUNG
– Bremsstufe: Der Druck oder das Vakuum der Zugleitung wird auf dem minimalen Reduktionswert gehalten.
Eintrag in der .eng-Datei: TrainBrakesControllerGraduatedSelfLapLimitedHoldingStart
• Betrieb: Luft
• Bremssysteme: Luft-Einrohr, Luft-Doppelrohr
• Beschreibung: INITIAL / FIRST SERVICE << >> VOLLSTÄNDIGER SERVICE
Nur abgestufter Einsatz von Druckluftbremsen. (Die Veröffentlichung ist nicht graduierbar.)
Eintrag in der .eng-Datei: TrainBrakesControllerEPApplyStart
• Betrieb: Luft, EP
• Bremssysteme: Luft-Einrohr, Luft-Doppelrohr, EP
• Beschreibung: INITIAL / FIRST SERVICE << >> VOLLSTÄNDIGER SERVICE
Abgestuftes Einsetzen und Lösen von Druckluftbremsen und EP-Bremsen. Kann für gekerbte Controller verwendet werden.
Eintrag in der .eng-Datei: TrainBrakesControllerContinuousServiceStart
• Betrieb: Luft, EP
• Bremssysteme: Luft-Einrohr, Luft-Doppelrohr, EP
• Beschreibung: ERSTER SERVICE >>>> VOLLSTÄNDIGER SERVICE
Abgestufter Einsatz von Druckluftbremsen und EP-Bremsen. (Die Veröffentlichung ist nicht graduierbar.)
Eintrag in der .eng-Datei: TrainBrakesControllerEPOnlyStart
• Bedienung: EP
• Bremssysteme: EP
• Beschreibung: INITIAL / FIRST SERVICE << >> VOLLSTÄNDIGER SERVICE
Abgestuftes Anlegen und Lösen der EP-Bremsen ohne Reduzierung des Luftzugdrucks.
Eintrag in der .eng-Datei: TrainBrakesControllerVacuumContinuousServiceStart
• Betrieb: Vakuum
• Bremssysteme: Vakuum-Einrohr
• Beschreibung: LÄUFT << >> FULL SERVICE / NOTFALL
Abgestuftes Anlegen und Lösen der Vakuumbremsen.
Eintrag in der .eng-Datei: Dummy
• Betrieb: Luft, Vakuum
• Bremssysteme: Luft-Einrohr, Luft-Doppelrohr, Vakuum-Einrohr
• Beschreibung: LÄUFT << >> FULL SERVICE / NOTFALL
Der Druck oder das Vakuum der Zugleitung kann auf jedem beliebigen Wert gehalten werden.
Kann für gekerbte Controller verwendet werden.
NICHT SELBST LAPPENDE APPLY-Einträge
Eintrag in der .eng-Datei: TrainBrakesControllerSlowServiceStart
• Betrieb: Luft, EP
• Bremssysteme: Luft-Einrohr, Luft-Doppelrohr, EP
• Beschreibung: ERSTE WARTUNG oder LANGSAME ANWENDUNG
Bremsstufe: Zugbremsen werden langsam betätigt, von der minimalen Betätigung bis zur vollständigen Betätigung. Die Rate wird durch ORTSTrainBrakesControllerSlowApplicationRate in der .eng-Datei bestimmt.
Eintrag in der .eng-Datei: TrainBrakesControllerFullServiceStart
• Betrieb: Luft, EP
• Bremssysteme: Luft-Einrohr, Luft-Doppelrohr, EP
• Beschreibung: ANWENDEN
Bremsstufe: Die Zugbremsen werden mit der normalen Betriebsrate von der minimalen Betätigung bis zur vollständigen Betätigung betätigt.
Eintrag in der .eng-Datei: TrainBrakesControllerEPFullServiceStart
• Bedienung: EP
• Bremssysteme: EP
• Beschreibung: EP APPLY
Bremsstufe: EP-Bremsen werden mit der normalen Betriebsgeschwindigkeit betätigt, ohne dass der Druck in der Luftleitungsleitung verringert wird.
Eintrag in der .eng-Datei: TrainBrakesControllerApplyStart
• Betrieb: Luft, EP, Vakuum
• Bremssysteme: Luft-Einrohr, Luft-Doppelrohr, EP, Vakuum-Einrohr
• Beschreibung: ANWENDEN
Bremsstufe: Zugbremsen werden mit der normalen Betriebsgeschwindigkeit von der minimalen Betätigung bis zur Notbetätigung betätigt.
Vakuumbremsen - Dampf.
Der MSTS-Legacy-Controller wird jetzt durch das nächste Einträge ersetzt
TrainBrakesControllerVacuumApplyContoinousServiceStart
Eintrag in der .eng-Datei: TrainBrakesControllerVacuumApplyContoinousServiceStart
• Betrieb: Vakuum
• Bremssysteme: Vakuum-Einrohr
• Beschreibung: ANWENDEN
Bereich: Die Geschwindigkeit der Bremsbetätigung wird durch die Stellung des Ventils bestimmt.
Eintrag in der .eng-Datei: TrainBrakesControllerEmeregencyStart
• Betrieb: Luft, EP, Vakuum
• Bremssysteme: Luft-Einrohr, Luft-Doppelrohr, EP, Vakuum-Einrohr
• Beschreibung: NOTFALL
Bremsstufe: Führen Sie eine vollständige Notbremsung so schnell wie möglich durch.
ANDERE Zugbremssteuerungs-Einträge
Eintrag in der .eng-Datei: TrainBrakesControllerSupressionStart
• Betrieb: Luft, EP
• Bremssysteme: Luft-Einrohr, Luft-Doppelrohr, EP
• Beschreibung: Hebt die Wirkung einer Strafbremsung durch TCS auf und gibt dem Fahrer die Kontrolle über die Bremsen zurück.
8.4.2 Haftung der Bremsbacken
Das Bremsen eines Zuges wird durch die folgenden zwei Arten von Kraftschluss (Reibungskoeffizienten) beeinflusst:
• Bremsbacke – der Reibungskoeffizient der Bremsbacke variiert je nach Art der Bremsbacke und die Geschwindigkeit des Rades nimmt zu. Typischerweise hatten ältere Bremsbacken aus Gusseisen niedrigere Reibungskoeffizienten als moderne Bremsbacken aus Verbundwerkstoff.
• Rad – Der Adhäsions- oder Reibungskoeffizient zwischen dem Rad und der Schiene variiert auch mit unterschiedlichen Bedingungen, z. B. ob die Strecke trocken oder nass war, und variiert auch mit der Rotationsgeschwindigkeit des Rades.
Daher hat ein Zug, der mit hoher Geschwindigkeit fährt, eine geringere Bremsbackenhaftung, was bedeutet, dass der Zug länger zum Anhalten braucht (oder alternativ muss mehr Kraft auf die Bremsbacke ausgeübt werden, um die gleiche Verlangsamungswirkung des Rades wie bei zu erzielen). langsamere Geschwindigkeiten). Das Fahren mit hohen Geschwindigkeiten kann auch dazu führen, dass nicht genügend Kraft zum Anhalten des Zuges zur Verfügung steht und der Zug daher unter Umständen anhalten kann
bei steilen Gefällen unkontrollierbar (unaufhaltsam) werden oder außer Kontrolle geraten.
Wenn umgekehrt zu viel Kraft auf die Bremsbacke ausgeübt wird, kann es zu einem Blockieren des Rades und damit zu einem Durchrutschen des Rades auf der Schiene kommen, sobald die Haftkraft (Wagengewicht x Reibungskoeffizient) des Wagens durch die Bremskraft überschritten wird . In diesem Fall ändert sich die Haftreibung zwischen Rad und Gleis in dynamische Reibung, die deutlich geringer ist als die Haftreibung, und der Zug wird daher nicht in der gewünschten Zeit und Entfernung angehalten.
Bei der Auslegung der Bremskräfte müssen Eisenbahningenieure sicherstellen, dass die maximale auf die Räder ausgeübte Bremskraft die oben genannten Kraftschlussfaktoren berücksichtigt.
Implementierung in Open Rails
Open Rails modelliert die oben beschriebenen Aspekte und arbeitet in einem der folgenden Modi:
• Erweiterte Adhäsion NICHT ausgewählt – die Bremskraft arbeitet gemäß der vorherigen ODER-Funktionalität, d. h. – konstante Bremskraft unabhängig von der Geschwindigkeit.
• Erweiterte Haftung AUSGEWÄHLT und ältere WAG-Dateien oder KEINE zusätzlichen Benutzer-Reibungsdaten, die in der WAG-Datei definiert sind – ODER geht davon aus, dass der vom Benutzer zugewiesene Reibungskoeffizient auf 20 % Reibungskoeffizient für Gusseisenbremsen eingestellt wurde, und führt ein Reverse Engineering der Bremskraft durch und wendet sie dann an die Standard-Reibungskurve, wenn sich die Geschwindigkeit ändert.
• Erweiterte Adhäsion AUSGEWÄHLT und zusätzliche Benutzer-Reibungsdaten WURDEN in der WAG-Datei definiert – ODER wendet die vom Benutzer definierte Reibungs-/Geschwindigkeitskurve an.
Es ist zu beachten, dass der Parameter MaxBrakeForce in der WAG-Datei die tatsächlich auf das Rad ausgeübte Kraft nach Reduzierung um den Reibungskoeffizienten ist.
Option iii) oben ist die ideale empfohlene Vorgehensweise und erfordert natürlich Include-Dateien oder Variationen der WAG-Datei.
Um die WAG-Datei einzurichten, müssen die folgenden Werte festgelegt werden:
• Verwenden Sie den OR-Parameter ORTSBrakeShoeFriction (x, y), um eine geeignete Reibungs-/Geschwindigkeitskurve zu definieren, wobei x = Geschwindigkeit in km/h und y = Bremsbackenreibung. Dieser Parameter muss in der WAG-Datei in der Nähe des Abschnitts enthalten sein, der die Bremsen definiert. Dieser Parameter ermöglicht dem Benutzer die Anpassung an jeden Bremstyp.
• Definieren Sie den MaxBrakeForce-Wert mit einem Reibungswert, der dem Nullgeschwindigkeitswert der obigen Kurve entspricht, d. h. im Fall der darunter liegenden Kurve würde dieser 0,49 betragen.
Eine Beispielkurvendefinition für eine COBRA-Bremsbacke (COmposition BRAkes) könnte beispielsweise wie folgt aussehen:
ORTSBrakeShoeFriction ( 0,0 0,49 8,0 ................ 80,5 0,298 88,5 0,295 96,6 0,289 104,6 0,288 )
Das Debug FORCES INFORMATION HUD wurde durch das Hinzufügen von zwei zusätzlichen Spalten geändert:
• Brk. Reibung. - Die Spalte zeigt den aktuellen Reibungswert der Bremsbacke an und variiert je nach Geschwindigkeit. (Gilt für die oben genannten Modi ii) und iii). Im Modus i) wird eine Reibungskonstante von 100 % angezeigt, was darauf hinweist, dass die in der WAG-Datei definierte MaxBrakeForce unverändert verwendet wird, dh unabhängig von der Geschwindigkeit konstant ist.
• Brk. Rutschen – zeigt an, dass die Fahrzeugräder bei Betätigung der Bremse entlang der Schiene rutschen. (Siehe Radrutschen aufgrund übermäßiger Bremskraft)
Es ist zu beachten, dass der Schieberegler für die Korrektur des Adhäsionsfaktors im Optionsmenü den Bremsbackenkoeffizienten über und unter 100 % (oder Eins) variiert. Es wird empfohlen, dies auf den Standardwert von 100 % einzustellen.
Diese Änderungen stellen eine zusätzliche Herausforderung beim Bremsen des Zuges dar, sorgen aber für einen realistischeren Zugbetrieb.
Beispielsweise wurde in vielen normalen Westinghouse-Bremssystemen eine minimale Druckreduzierung vorgenommen, indem der Bremsregler in die LAP-Position gebracht wurde. Normalerweise werden von Westinghouse Werte zwischen 7 und 10 psi empfohlen.
8.4.3 Verluste an Zugbremsleitungen
In der Zugbremsleitung eines Zuges kommt es zu Luftverlusten durch Undichtigkeiten an Verbindungsstellen usw. Normalerweise wird der Luftdruck in der Leitung vom Behälter aufrechterhalten, wenn sich die Bremssteuerung in der Betriebsposition befindet. Bei einigen Bremssystemen, insbesondere bei älteren Systemen wie dem A6-ET, ist die Zugbremsleitung jedoch vom Luftbehälter isoliert, wenn sich die Bremssteuerung in der LAP-Position befindet, und daher kommt es im Laufe der Zeit zu einem Druckabfall in der Leitung aufgrund von Undichtigkeiten. Dies führt dazu, dass die Bremsen nach und nach betätigt werden.
Bei einigen Bremssystemen kann es zu geringfügigen Leckagen kommen, ohne dass die Bremsen betätigt werden müssen. Dies kann mit dem Parameter ORTSBrakeInsensitivity in der WAG-Datei geregelt werden. UIC-Fahrzeuge sind in der Regel unempfindlich gegenüber Druckabfallraten von weniger als 0,3 bar/min. Dieser Parameter verhindert auch, dass die Bremsen betätigt werden, während eine Überlastung der Bremsleitung beseitigt wird.
Modernere Systeme verfügen über eine Selbstläppfunktion, die Leckagen in der Zugbremsleitung unabhängig von der Position der Bremssteuerung ausgleicht.
Open Rails modelliert diese Funktion immer dann, wenn der TrainPipeLeakRate-Parameter im Engine-Abschnitt der ENG-Datei definiert ist. Normalerweise akzeptierten die meisten Eisenbahnunternehmen Leckraten von etwa 5 psi/min in der Zugbremsleitung, bevor Abhilfemaßnahmen ergriffen werden mussten.
Wenn dieser Parameter in der ENG-Datei weggelassen wird, tritt kein Leck auf.
8.4.4 Radschlupf aufgrund zu hoher Bremskraft
Die Anwendung einer übermäßigen Bremskraft auf ein Rad kann dazu führen, dass es blockiert und dann auf den Schienen zu rutschen beginnt. Dies geschieht, wenn die Bremskraft des Wagens die Haftgewichtskraft des Wagenrades übersteigt, d. h. die Rad-Schiene-Reibung überwunden wird und das Rad nicht mehr auf den Schienen greift.
Typischerweise geschieht dies bei leicht beladenen Fahrzeugen bei niedrigeren Geschwindigkeiten, weshalb sichergestellt werden muss, dass die Bremskräfte den Konstruktionsstandards entsprechen. Das Schleudern ist wahrscheinlicher, wenn die Haftung zwischen Rad und Schiene gering ist. So ist das Schleudern beispielsweise bei nassem Wetter wahrscheinlicher als bei trockenem Wetter. Der Wert Wag Adhesion im FORCES INFORMATION HUD gibt diesen Adhäsionswert an und variiert je nach den jeweiligen Wetterbedingungen.
Wenn bei einem Fahrzeug ein Radschlupf auftritt, wird im FORCES INFORMATION HUD ein Hinweis angezeigt. Um das Problem zu beheben, müssen die Bremsen gelöst und dann langsam betätigt werden, um sicherzustellen, dass die Räder nicht blockieren. Das Durchrutschen der Räder tritt nur dann auf, wenn im Optionsmenü ERWEITERTE Haftung ausgewählt ist.
Bei einigen Dampflokomotiven sind nicht alle Räder gebremst, möglicherweise sind nur die Antriebsräder gebremst, die anderen Räder jedoch nicht. Um dies bei der Schleuderberechnung zu berücksichtigen, kann der folgende Parameter eingestellt werden.
ORTSLocomotiveDriveWheelOnlyBraking (x) – wobei x = 1, wenn die Bremsen nur an den Antriebsrädern angebracht sind, auf 0 setzen oder leer lassen, wenn alle Räder gebremst sind.
8.4.5 Verwendung der erweiterten Bremsinformationen von F5 HUD
Dies hilft Benutzern von Open Rails, den Status des Bremsens im Spiel zu verstehen und hilft beim realistischen An- und Abkuppeln von Waggons. Die Bremsphysik von Open Rails ist realistischer als MSTS, da sie die Verbindung, Aufladung und Entlüftung von Bremsleitungen modelliert.
Beachten Sie beim Ankoppeln an einen statischen Verband, dass die Bremsleitung der neu hinzugekommenen Wagen normalerweise drucklos ist. Dies liegt daran, dass die Zugbremsleitung/-schlauch noch nicht angeschlossen ist. Die letzten Spalten jeder Zeile zeigen den Zustand der Druckluftbremsschlauchanschlüsse jeder Einheit im Verbund.

Die Spalten unter AnglCock beschreiben den Zustand des Angle Cock, eines manuell betätigten Ventils in jedem Bremsschlauch eines Autos: A ist der Hahn vorne, B ist der Hahn hinten im Auto. Das Symbol + zeigt an, dass der Hahn geöffnet ist, und das Symbol - zeigt an, dass er geschlossen ist. Die mit T überschriebene Spalte gibt an, ob der Schlauch an der Lokomotive oder dem Wagen miteinander verbunden ist: T bedeutet, dass keine Verbindung besteht, I bedeutet, dass er an die Luftdruckleitung angeschlossen ist. Wenn die Winkelhähne von zwei aufeinanderfolgenden Waggons B+ bzw. A+ sind, leiten sie den Hauptluftschlauchdruck zwischen den beiden Waggons weiter. Beachten Sie in diesem Beispiel, dass die Luftbremsleitungen der Lokomotive mit A- (geschlossen) beginnen und mit B- (geschlossen) enden, bevor die Luftschläuche an die neu gekoppelten Waggons angeschlossen werden. Bei allen neu gekoppelten Wagen in diesem Beispiel sind die Winkelhähne geöffnet, auch die an den Enden, sodass der Bremsdruck Null ist. Dies wird als Notfallzustand gemeldet.
Ankuppeln von Waggons
Beachten Sie außerdem, dass Sie unmittelbar nach dem Ankuppeln möglicherweise auch feststellen, dass die Handbremsen der neu hinzugefügten Fahrzeuge auf 100 % eingestellt sind (siehe Spalte mit der Überschrift „Handbrk“). Durch Drücken von <Umschalt+;> (Umschalt plus Semikolon auf englischen Tastaturen) werden alle Handbremsen der Gruppe gelöst, wie unten gezeigt. Durch Drücken von <Umschalt+'> (Umschalt plus Apostroph auf englischen Tastaturen) werden alle Handbremsen aktiviert. Bei Fahrzeugen ohne Handbremse gibt es keinen Eintrag in der Handbremsen-Spalte.
Sollen die neu angekuppelten Waggons ohne Druckluftbremsen bewegt und in der Nähe geparkt werden, kann der Bremsdruck in ihren Luftschläuchen auf Null belassen werden, d. h. ihre Schläuche sind nicht mit dem Luftschlauch des Zuges verbunden. Bevor die Wagen am neuen Standort abgekoppelt werden, sollten die Handbremsen angezogen werden. Die Waggons melden weiterhin den Notstand, während sie mit dem Verbund verbunden sind, da ihr BC-Wert Null ist; Sie werden keine Bremsen haben. Zum Bremsen sind die Lokbremsen zu verwenden. Werden die Wagen während der Fahrt abgekoppelt, rollen sie weiter.
Sollen die Bremsen der neu angeschlossenen Wagen im Verbund über den Luftdruck des Zuges gesteuert werden, müssen deren Schläuche miteinander und mit dem Luftschlauch des Zuges verbunden und die Winkelhähne richtig eingestellt sein. Durch Drücken der Backslash-Taste (<\>) (auf englischen Tastaturen; bitte überprüfen Sie die Tastaturbelegung für andere Tastaturen) werden die Bremsschläuche zwischen allen an den Motor gekoppelten Wagen verbunden und die Zwischenwinkelhähne so eingestellt, dass sich der Luftdruck allmählich annähern kann der gleiche Druck im gesamten Schlauch. Dies modelliert die vom Zugpersonal durchgeführten Operationen. Die HUD-Anzeige ändert sich und zeigt den neuen Zustand der Bremsschlauchanschlüsse und Winkelhähne an:

Alle Schläuche sind nun angeschlossen; Nur die Winkelhähne der Führungslokomotive und des letzten Wagens sind geschlossen, wie durch das - angezeigt. Die restlichen Hähne sind geöffnet (+) und die Luftschläuche sind zusammengefügt (alle I), um sie an die Luftversorgung der Führungslokomotive anzuschließen.
Mit dem Anschluss der Schläuche der neuen Wagen beginnt die Wiederaufladung der Zugbremsleitung. Open Rails verwendet eine Standardladerate von etwa 1 Minute pro 12 Wagen. Das HUD-Display meldet möglicherweise, dass sich die Einheit im Notfallzustand befindet. Dies liegt daran, dass der Luftdruck beim Anschließen der leeren Fahrzeugbremssysteme abfiel. Letztlich erreichen die Bremsdrücke ihre stabilen Werte:

Wenn Sie nicht warten möchten, bis die Bremsleitung des Zugs aufgeladen ist, führen Sie durch Drücken von <Umschalt+/> (auf englischen Tastaturen) die Initialisierung der Bremsen aus, wodurch die Bremsleitung des Zugs sofort vollständig in den Endzustand aufgeladen wird. Diese Aktion ist jedoch nicht vorbildgerecht und ermöglicht auch keine Steuerung der Bremshalterungen.
Der Zustand der Winkelhähne, der Schlauchverbindungen und der Luftbremsdruck einzelner gekoppelter Wagen können mit dem hier beschriebenen F9 Train Operations Monitor manipuliert werden. Dies ermöglicht ein realistischeres Rangieren von Waggons auf Güterbahnhöfen.
Abkoppeln von Waggons
Beim Abkuppeln von Waggons aus einem Verbund ermöglicht die Verwendung des F5 HUD Expanded Brake Display in Verbindung mit dem F9 Train OperationsMonitor-Display dem Spieler, die Handbremsen der abzukuppelnden Waggons einzustellen und diese abzukuppeln, ohne den Luftdruck in den verbleibenden Waggons zu verlieren. Schließen Sie vor dem Abkuppeln den Winkelhahn am Wagenheck vor dem ersten abzukuppelnden Wagen, damit beim Abkuppeln der Luftschläuche zu den abgekuppelten Wagen der Luftdruck im restlichen Verbund nicht verloren geht. Wenn dieses Verfahren nicht befolgt wird, wechselt das Zugbremssystem in den Notfallzustand und muss die Taste <\> (Backslash) drücken, um die Luftschläuche richtig anzuschließen, und dann warten, bis sich der Bremsdruck wieder stabilisiert.
Bremsenhalter einstellen
Wenn ein langer Zug ein langes oder steiles Gefälle hinunterfahren muss, kann der Zugführer die Bremshalterungen an einigen oder allen Waggons anbringen, um eine feste Bremskraft dieser Waggons zu erzeugen, wenn die Zugbremsen gelöst werden. (Dazu muss die Rückhaltefunktion der Waggons aktiviert sein; entweder über die Menüoption Rückhalteventil an allen Waggons oder durch die Aufnahme eines entsprechenden Schlüsselworts in die .wag-Datei des Waggons.) Der Zug muss vollständig angehalten und die Hauptbremsen aktiviert sein Es muss darauf geachtet werden, dass ausreichend Druck in den Bremszylindern vorhanden ist. Durch Drücken von <Umschalt+]> wird gesteuert, bei wie vielen Waggons im Zugverband die Haltevorrichtungen eingestellt sind und welcher Druckwert beibehalten wird, wenn die Zugbremsen gelöst werden. Die Einstellungen werden unten im Abschnitt „Bremshalter“ beschrieben. Durch Drücken von <Umschalt+[> werden die Einstellungen abgebrochen und die gesamte Luft aus den Bremszylindern abgelassen, wenn die Bremsen gelöst werden. Das F5-Display zeigt das Symbol RV ZZ für den Zustand des Rückhalteventils in allen Fahrzeugen an, wobei ZZ EX für Exhaust oder LP oder HP bedeutet. Wenn die Systembremsen gelöst werden und keine Halterungen angebracht sind, wird die Luft in den Bremszylindern der Autos normalerweise an die Luft abgegeben. Der BC-Druck wird bei Fahrzeugen mit eingestellten Halterungen nicht unter den angegebenen Wert fallen. Um die Halteeinstellungen zu ändern, muss der Zug vollständig angehalten werden. Eine Beispiel-F5-Ansicht mit 50 % LP ist unten dargestellt:

8.4.6 Dynamische Bremsen
Die Open-Rails-Software unterstützt dynamisches Bremsen für Motoren. Um die dynamischen Bremsen zu erhöhen, drücken Sie Punkt (.) und Komma (,), um sie zu verringern. Dynamische Bremsen sind normalerweise beim Anfahren des Zuges ausgeschaltet (dies kann durch die entsprechende MSTS-Einstellung in der .eng-Datei überschrieben werden), der Gashebel funktioniert und in der dynamischen Bremsleitung im HUD wird kein Wert angezeigt. Um die dynamischen Bremsen einzuschalten, stellen Sie den Gashebel auf Null und drücken Sie dann „Periode“. Durch Drücken der Periode werden die dynamischen Bremskräfte sukzessive erhöht. Wenn der Wert n im MSTS-Parameter DynamicBrakesDelayTimeBeforeEngaging ( n ) größer als Null ist, wird die dynamische Bremse erst nach n Sekunden aktiviert. Der Gashebel funktioniert nicht, wenn die dynamischen Bremsen aktiviert sind.
Die dynamische Bremskraft als Funktion von Steuereinstellung und Geschwindigkeit kann in einer DynamicBrake-ForceCurves-Tabelle definiert werden, die wie die MaxTractiveForceCurves-Tabelle funktioniert. Wenn in der ENG-Datei keine DynamicBrakeForce-Kurven definiert sind, wird eine basierend auf den MSTS-Parameterwerten erstellt.
8.4.7 Native Open Rails Bremsparameter
Open Rails hat zusätzliche spezifische Bremsparameter implementiert, um eine realistische Bremsleistung in der Simulation zu liefern.
Im Folgenden finden Sie eine Liste spezifischer OR-Parameter und ihrer Standardwerte. Anstelle der MSTS-Bremsparameter werden die Standardwerte verwendet; Für den Freigabestatus werden jedoch zwei MSTS-Parameter verwendet: Max-AuxilaryChargingRate und EmergencyResChargingRate.
• Wagon(BrakePipeVolume – Volumen der Bremsleitung des Wagens in Kubikfuß (Standard 0,5). Dies hängt von der Zuglänge ab, die vom ENG bis zum letzten Wagen im Zug berechnet wird. Dieser Aggregatfaktor wird verwendet, um die Auswirkungen der Zuglänge zu approximieren von anderen Faktoren abhängen. Streng genommen sollte dieser Wert von der Wagenlänge abhängen, aber das Open Rails-Entwicklungsteam glaubt nicht, dass es die zusätzliche Komplikation oder CPU-Zeit wert ist, die erforderlich wäre, um ihn in Echtzeit zu berechnen. Wir werden es der Community überlassen Passen Sie diesen Effekt an, indem Sie stattdessen den Bremsbetriebszeitfaktor anpassen. Das Open Rails-Entwicklungsteam glaubt jedoch nicht, dass dies den Aufwand für den Benutzer aufgrund des zusätzlichen Realismus wert ist.
• Wagon(ORTSEmergencyValveActuationRate – Schwellenwert für die Notbremsbetätigung des Dreifachventils. Wenn der Druck in der Bremsleitung stärker als angegeben abnimmt, wechselt das Dreifachventil in den Notbetrieb.
• Wagon(ORTSMainResPipeAuxResCharging – Boolescher Wert, der bei Doppelrohrsystemen angibt, ob die Hauptbehälterleitung zum Laden der Hilfsbehälter verwendet wird. Bei Einstellung auf „false“ wird die Hauptbehälterleitung nicht vom Bremssystem verwendet.
• Engine(ORTSMainResChargingRate – Änderungsrate des Hauptbehälterdrucks in psi pro Sekunde, wenn der Kompressor eingeschaltet ist (Standard .4).
• Engine(ORTSEngineBrakeReleaseRate – Rate des Motorbremsdruckabfalls in psi pro Sekunde (Standard 12,5).
• Engine(ORTSEngineBrakeApplicationRate – Rate des Motorbremsdruckanstiegs in psi pro Sekunde (Standard 12,5).
• Engine(ORTSBrakePipeChargingRate – Anstiegsrate des Hauptbremsleitungsdrucks des Motors in PSI pro Sekunde (Standard 21).
• Engine(ORTSBrakePipeQuickChargingRate – Geschwindigkeit des Druckanstiegs in der Hauptbremsleitung des Motors in PSI pro Sekunde während einer Schnellfreigabe (standardmäßig gleich ORTSBrakePipeChargingRate).
• Engine(ORTSBrakeServiceTimeFactor – Zeit in Sekunden, bis der Hauptbremsleitungsdruck des Motors für die Serviceanwendung auf etwa 1/3 abfällt (Standard 1,009).
• Engine(ORTSBrakeEmergencyTimeFactor – Zeit in Sekunden, bis der Druck in der Hauptbremsleitung des Motors im Notfall auf etwa 1/3 abfällt (Standard .1).
• Engine(ORTSBrakePipeTimeFactor – Zeit in Sekunden, bis sich ein Unterschied im Rohrdruck zwischen benachbarten Wagen auf etwa 1/3 ausgleicht (Standard .003).
• Engine(AirBrakeMaxMainResPipePressure – Druck in der Hauptbehälterleitung für Doppelrohrbremssysteme (Standard = Hauptbehälterdruck).
8.4.8 Bremsrückhalteventil
Das Bremsrückhalteventil eines Fahrzeugs ist nur verfügbar, wenn entweder das allgemeine Option-Halteventil aller Fahrzeuge überprüft ist oder die .wag-Datei des Fahrzeugs eine Halterungsventildeklaration enthält. Um einen Retainer zu deklarieren, muss die Zeile BrakeEquipmentType ( ) in der .wag-Datei entweder das Element Retainer_4_Position oder das Element Retainer_3_Position enthalten. Ein Halter mit 4 Positionen umfasst vier Zustände: Auslass, niedriger Druck (10 psi), hoch
Druck (20 psi) und langsam direkt (allmählicher Abfall auf Null). Ein 3-Positionen-Halter umfasst nicht die Niederdruckposition. Die Verwendung und Anzeige der Halterungen wird im Erweiterten HUD für Bremsinformationen beschrieben.
Die Einstellung des Haltedrucks und der Anzahl der Halterungen wird mit den Tasten Strg+[ und Strg+] gesteuert (Strg plus die linke und rechte eckige Klammer ([ und ]) auf einer englischen Tastatur). Mit der Tastenkombination Strg+[ wird die Halterung aller Waggons im Verbund auf „Ausstoß“ (Standardposition) zurückgesetzt. Bei jedem Drücken der Taste [Strg+] werden die Retainer-Einstellungen in einer festgelegten Reihenfolge geändert. Zuerst wird der Anteil der Wagen mit niedrigem Druck ausgewählt (25 %, 50 % und dann 100 % der Wagen), dann wird stattdessen der Anteil der Wagen mit hohem Druck ausgewählt, dann der Anteil mit langsamer Direktfahrt. Bei der 25 %-Einstellung wird der Halter auf jeden vierten Wagen, beginnend am Ende des Zugs, gesetzt, bei 50 % auf jeden zweiten Wagen und bei 100 % auf jeden Wagen. Diese Änderungen sind nur bei stehendem Zug möglich. Wenn die Halterung auf „Entlüften“ eingestellt ist, wird der Freigaberatenwert der ENG-Datei verwendet, andernfalls sind die Drücke und Freigaberaten fest codiert, basierend auf einigen AB-Bremsdokumentationen, die vom Open Rails-Entwicklungsteam verwendet werden.
8.4.9 Notbremsbetätigungsschlüssel
Die Rücktaste wird wie in MSTS verwendet, um in einer Notsituation die Zugbremsen zu betätigen, ohne dass der Zugbremshebel betätigt werden muss. Allerdings führt das Zurückbewegen des Bremshebels in die Löseposition des OR nur dazu, dass der OR die Meldung „Notbremsknopf betätigen“ meldet. Um die Notfallanwendung abzubrechen, muss die Rücktaste erneut gedrückt werden, dann kann der normale Betrieb wieder aufgenommen werden. Wenn die Taste aktiv ist, zeigt das F5-HUD die Notbremstaste in der Zugbremsleitung an.
8.4.10 Automatische Vakuumbremsen
Die automatische Vakuumbremsung wurde in Open Rails in einer der beiden folgenden Formen implementiert:
• Direktvakuum – in dieser Form wird, je nach Betriebskapazität der Ejektoren, ein Vakuum aufrechterhalten oder erzeugt, während die Bremsleitung (BP) mit den Ejektoren oder der Vakuumpumpe verbunden ist. Typischerweise ist dies der Fall, wenn sich die Bremssteuerung in der Position „Bremse aus“ befindet.
• Ausgleichsbehälter (EQ) – in dieser Form ist ein Hauptvakuumbehälter zusammen mit dem Ausgleichsbehälter an der Lokomotive angebracht. Typischerweise wird im Hauptbehälter ein ausreichend hoher Unterdruck gehalten, um im BP einen Unterdruck zum Lösen der Bremsen zu erzeugen. Das BP-Vakuum gleicht sich dem vom Fahrer am Ausgleichsbehälter eingestellten Vakuum an.
Mit zunehmender Höhe, in der der Zug fährt, nimmt die Wirksamkeit der Vakuumbremsen ab. Wenn ein Zug beispielsweise mit einem 21-Zoll-Hg-System fährt, basierend auf den folgenden höchsten Eisenbahnpunkten in den angegebenen Ländern, wäre zu erwarten, dass nur die folgenden maximal möglichen Vakuumwerte erreichbar wären:
UK = 350 m = 20 InHg Aus = 923 m = 19 InHg USA = 4.301 m = 14 InHg
Im Allgemeinen haben Bremsen (insbesondere ein System mit Ausgleichsbehälter) drei mögliche Zeitpunkte, die sich auf das Betätigen oder Lösen der Bremsen auswirken.
i) Im Ausgleichsbehälter wird der Bremsregler variiert
ii) In der Zugbremsleitung, wenn der Unterdruck erhöht oder verringert wird
iii) Im Bremszylinder beim Betätigen oder Lösen.
Bei Bremsen ohne Ausgleichsbehälter gelten in obiger Liste nur die Punkte ii) und iii).
Der OR-Code versucht, die oben genannten drei Elemente zu modellieren, es müssen jedoch möglicherweise einige Kompromisse eingegangen werden, und es wird empfohlen, dass das beste Ergebnis erzielt wird, wenn ein Gesamt-Timing-Ansatz berücksichtigt wird, anstatt jede einzelne Komponente isoliert zu betrachten.
Um die obige Option „Ausgleichsbehälter“ zu aktivieren, muss BrakesTrainBrakeType im Abschnitt „engine“ der ENG-Datei auf „vacuum_single_pipe_eq“ festgelegt werden.
Im Folgenden finden Sie eine Liste spezifischer OR-Parameter und ihrer Standardwerte. Die Standardwerte können überschrieben werden, indem die folgenden Parameter in den entsprechenden Wagenabschnitt der WAG- oder ENG-Datei aufgenommen werden.
• Wagon(BrakePipeVolume – Volumen der am Wagen montierten Bremsleitung in Kubikfuß (Standard wird aus der Länge des Wagens berechnet und von 2 Zoll BP ausgegangen).
• Wagon(ORTSAuxilaryResCapacity – Volumen des Hilfsvakuumbehälters (gekoppelt an den Bremszylinder) in Kubikfuß (Standard wird auf Basis eines 24-Zoll-Behälters berechnet).
• Wagen(ORTSBrakeCylinderSize – Größe der am Wagen montierten Bremszylinder in Zoll (Standard geht von einem 18-Zoll-Bremszylinder aus).
• Waggon(ORTSNumberBrakeCylinders – Anzahl der am Waggon montierten Bremszylinder, als Ganzzahl (Standard 2).
• Wagen (ORTSDirectAdmissionValve – Wagen verfügt über Direkteinlassventile, 0 = Nein, 1 = Ja (Standard: Nein).
• Waggon(ORTSBrakeShoeFriction – definiert die Reibungskurve für die Bremsbacke mit Geschwindigkeit (Standardkurve für in OR enthaltene Bremsbacken aus Gusseisen).
Andere Standard-Bremsparameter wie MaxBrakeForce, MaxReleaseRate, MaxApplicationRate, BrakeCylinderPressureForMaxBrakeBrakeForce können ebenfalls verwendet werden.
Darüber hinaus ist im Engine-Abschnitt der ENG-Datei Folgendes definiert:
• engine(BrakeCylinderPressureForMaxBrakeBrakeForce – legt die Rate fest, mit der sich die Bremsleitung in InHg pro Sekunde auflädt (Standard 0,32). Dieser Wert sollte auf der Grundlage der Einspeisung in ein 200ft^3-Bremssystem berechnet werden, da OR den Wert je nach angeschlossenem Gerät anpasst Volumen der Bremszylinder und Bremsleitungen.
• engine(ORTSBrakeServiceTimeFactor – Zeit in Sekunden, in der der Hauptbremsleitungsdruck des Motors abfällt (Standard 10,0)
• engine(ORTSBrakeEmergencyTimeFactor – Zeit, in der der Hauptbremsleitungsdruck des Motors unter Notfallbedingungen abfällt, in Sekunden (Standard 1,0)
• engine(ORTSBrakePipeTimeFactor – Steuert die Ausbreitungszeit entlang der Zugleitung, wenn das Vakuum zunimmt, z. B. wenn die Bremsen gelöst werden, in Sekunden (Standard 0,02)
• engine(TrainPipeLeakRate – Rate, mit der die Zugbremsleitung leckt, in InHg pro Sekunde (Standard: keine Leckage)
• engine(ORTSVacuumBrakesMainResVolume – Das Volumen des Hauptvakuumbremsbehälters in Kubikfuß (Standard 110,0, nur EQ-Betrieb)
• engine(ORTSVacuumBrakesMainResMaxVacuum – Das maximale Vakuum im Hauptvakuumbremsbehälter. Wenn dieser Druck erreicht wird, stoppt der Absauger automatisch in InHg. (Standard 23, nur EQ-Betrieb)
• Motor (ORTSVacuumBrakesExhausterRestartVacuum – Druck, unterhalb dessen der Absauger zu arbeiten beginnt, um den Hauptbehälter wieder aufzuladen, in InHg (Standard 21, nur EQ-Betrieb)
• engine(ORTSVacuumBrakesMainResChargingRate – Rate, mit der sich der Hauptvakuumspeicher auflädt, in InHg pro Sekunde (Standard 0,2, nur EQ-Betrieb)
Hinweis: Es wird dringend empfohlen, UoM zu verwenden, wenn in den oben genannten Parametern Einheiten wie InHg usw. angegeben werden.
Andere Standard Bremsparameter wie z.B
VakuumBremsenHasVakuumPumpe,
VakuumBremsenMinKesselDruckMaxVakuum,
VakuumBremsenSmallEjectorUsageRate,
VacuumBrakesLargeEjectorUsageRate
kann ebenfalls definiert werden.
Beim Definieren der Bremscontroller für vakuumgebremste Lokomotiven sollten nur die folgenden BrakesController-Tokens verwendet werden:
TrainBrakesControllerFullQuickReleaseStart,
TrainBrakesControllerReleaseStart, TrainBrakesControllerRunningStart,
TrainBrakesControllerApplyStart, TrainBrakesControllerHoldLappedStart,
TrainBrakesControllerVacuumContinuousServiceStart, TrainBrakesControllerEmergencyStart,
EngineBrakesControllerReleaseStart, EngineBrakesControllerRunningStart,
EngineBrakesControllerApplyStart.
Wenn TrainPipeLeakRate in der ENG-Datei festgelegt wurde, ist der kleine Ejektor erforderlich, um die Leckage in der Bremsleitung auszugleichen. Mit den Tasten J und Shft-J kann der Betriebsgrad des kleinen Ejektors erhöht/verringert werden.
Eine Motorsteuerung kann so konfiguriert werden, dass sie den Betrieb des kleinen Ejektors individuell anpasst. Dieser Controller heißt ORTSSmallEjector (w, x, y, z) und wird als Standard-4-Werte-Controller eingerichtet.
Eine Motorsteuerung kann auch so konfiguriert werden, dass sie den Betrieb des großen Ejektors individuell anpasst. Dieser Controller heißt ORTSLargeEjector (w, x, y, z) und wird als Standard-4-Werte-Controller eingerichtet. Zum Lösen der Bremsen muss der große Auswerfer betätigt werden. Mit den Tasten Alt-J und Strg-J kann der Betriebsgrad des großen Auswerfers verringert/erhöht werden.
Bei Brennkraft- und Elektrolokomotiven erfüllt der Vakuumaussauger eine ähnliche Funktion wie der kleine und große Ejektor, jedoch auf „automatisierte“ Weise. Mit der J-Taste kann der Vakuumsauger mit hoher Geschwindigkeit betrieben werden, um ein schnelleres Lösen der Bremsen zu ermöglichen. Ein Motorregler namens ORTSFastVacuumExhauster ( x y z ), der als standardmäßiger 3-Werte-Regler eingerichtet wird.
Wenn der Betrieb des großen Ejektors nicht erwünscht ist, kann eine vereinfachte Bremsbedienung verwendet werden, indem im Optionsmenü (Registerkarte „Simulator“) die Option „Einfache Steuerung und Physik“ ausgewählt wird. Diese Option kann auch verwendet werden, wenn eine „Nichtübereinstimmung“ zwischen den Bremsen der Lokomotive und des Wagens besteht, um einen standardmäßigen Satz Bremsen einzustellen.
Auch Motorbremsen können je nach Bedarf für Lokomotiven konfiguriert werden. Sie funktionieren auf ähnliche Weise wie diejenigen, die in luftgebremsten Lokomotiven eingebaut sind.
8.4.11 Nicht automatische Vakuumbremsen
Nicht automatisches (oder direktes) Vakuumbremsen wurde zu OR hinzugefügt. Diese Bremsung basiert auf den Vakuumbremssystemen von Eames und Hardy.
Gerade Bremsen funktionieren umgekehrt wie „normale“ Vakuumbremsen, dh in der Zugbremsleitung muss ein Vakuum erzeugt werden, um die Bremsen zu betätigen, und es muss Luft in die Bremsleitung gelassen werden, um die Bremsen zu lösen. Die gerade Bremse hatte den großen Nachteil, dass bei einer Unterbrechung der Bremsleitung die Bremsen nicht betätigt und der Zug angehalten werden konnten. Daher wurden sie meist nur in frühen Zügen eingesetzt und im Laufe der Zeit durch automatische Bremsen ersetzt.
Um ein Auto mit manueller Bremse zu konfigurieren, konfigurieren Sie im Abschnitt „Autobremse“ die beiden folgenden Parameter:
BrakeEquipmentType( "Straight_Vacuum_Single_Pipe" )
Zusätzliche Zugsteuergeräte wurden hinzugefügt, um den Betrieb gerade gebremster Wagen zu erleichtern.
TrainBrakesControllerStraightBrakingReleaseOffStart – schließt das Eames-Freigabeventil. TrainBrakesControllerStraightBrakingReleaseOnStart – öffnet das Eames-Freigabeventil, um die Bremsen zu lösen. Zum Betätigen der Bremsen müssen die normalen großen Auswerfersteuerungen verwendet werden (verwenden Sie die Tasten Alt-J und Strg-J).
TrainBrakesControllerStraightBrakingReleaseStart – Hardy-Bremse – loslassen TrainBrakesControllerStraightBrakingLapStart – Hardy-Bremse – auf aktuellem Vakuumniveau halten TrainBrakesControllerStraightBrakingApplyStart – Hardy-Bremse – Doppelauswerfer – großen Auswerfer verwenden, um die Bremsen nur im Zug zu betätigen TrainBrakesControllerStraightBrakingApplyAllStart – Hardy-Bremse – Einzelauswerfertyp – großen Auswerfer zum Betätigen der Bremsen verwenden TrainBrakesControllerS geradeBremsenNotfallStart - Hardy-Bremse – Doppelauswerfertyp – verwenden Sie einen großen und einen kleinen Auswerfer, um die Bremsen an Zug, Lokomotive und Tender zu betätigen
Bei diesem Bremstyp werden ähnliche Timing-Parameter wie bei der oben genannten Vakuumbremse verwendet.
8.4.12 Manuelle Bremsen
Manuelles Bremsen ist in OR vorgesehen, um Wagen ohne Bremsen zu bedienen (z. B. hatte die Rocket-Lokomotive von Stephenson ursprünglich keine Bremsen eingebaut). Alternativ verwendeten einige Züge manuell betätigte Bremsen, die von einem Bremser gesteuert wurden. Diese Funktion ermöglicht die Einrichtung einer Bremsung an ausgewählten Waggons entlang des Zuges, die von einem Bremser bedient werden (z. B. hatten einige Züge nur Bremsen an der Lokomotive und den Bremswagen (Kombüsen), die zur Steuerung des Anhaltens des Zuges betätigt wurden.
Eine zusätzliche Motorsteuerung wurde hinzugefügt, um den Betrieb aller bremsergesteuerten Fahrzeuge (manuell gebremst) zu erleichtern.
Der Controller kann einer ENG-Datei auf ähnliche Weise wie ein Druckluftbrems- oder Vakuum-Controller hinzugefügt werden, indem der folgende Bremscontroller-Parameter verwendet wird: TrainBrakesControllerManualBrakingStart
Um ein Auto mit manueller Bremse zu konfigurieren, konfigurieren Sie im Abschnitt „Autobremse“ die folgenden zwei Parameter:
BrakeSystemType ("Manual_Braking") BrakeEquipmentType ("Manual_brake, Handbrake")
Wenn der BrakeEquipmentType weggelassen wird, geht OR davon aus, dass das Fahrzeug nicht mit einer Bremse ausgestattet ist.
Für einen manuell gebremsten Wagen müssen im Abschnitt „Waggon“ der Datei folgende Werte eingestellt werden:
• MaxBrakeForce
• MaxReleaseRate
• MaxApplicationRate
Die manuelle Bremse kann durch Drücken von Alt-] erhöht und durch Drücken von Alt-[ verringert werden.
8.4.13 Dampfbremsen
Steam brakes can be applied to a locomotive, and its corresponding tender, by adding the following parameter
to the ENG file:
BrakesEngineBrakeType ( "Steam_brake" )
The brake can be applied by pressing ], and released by pressing the [ keys.
To control the application and release rates on the brake use the EngineBrakesControllerMaxApplicationRate and EngineBrakesControllerMaxReleaseRate parameters.
The SteamBrakeFX special effect, if added to the wagon, will turn on and off with the brake operation and can be used to model steam leakage of the steam brake cylinder, etc.
8.4.14 Radschlupfschutz
Open Rails unterstützt den Einsatz von Wheel Slide Protection (WSP) in Zügen mit Druckluftbremsen. WSP funktioniert wie unten beschrieben.
Beim Bremsen wird die Radrutschkontrolle im gesamten Zug durch zusätzliche Ausrüstung an jedem Fahrzeug durchgeführt. In den Rohrleitungen zu jedem Bremszylinderpaar sind elektrisch betätigte Ablassventile eingebaut. Wenn sich die elektrisch erfassten Achsdrehungen um eine vorgegebene Geschwindigkeit unterscheiden, werden die Ablassventile betätigt und geben den Bremszylinderdruck an beide Achsen des betroffenen Drehgestells ab.
Der Betrieb des Ablassventils wird beendet, wenn die Unterschiede in den Achsdrehungen innerhalb vorgegebener Grenzen liegen oder die Achse schneller als eine vorgegebene Geschwindigkeit beschleunigt. Das Ablassventil funktioniert nur für einen Zeitraum von maximal sieben Sekunden. Danach wird es abgeschaltet und das Ablassventil wird erst wieder aktiviert, wenn der Zug angehalten oder der Gashebel betätigt wurde.
Der Betrieb des Ablassventils wird unter den folgenden Bedingungen verhindert:
• Wenn der Leistungsregler geöffnet ist.
• Wenn der Bremsleitungsdruck unter 36 psi (250 kPa) gesunken ist.
So aktivieren Sie WSP ORTSWheelBrakeSlideProtection (1). Wenn gewünscht ist, dass die Notbremsung nicht durch WSP beeinträchtigt wird, verwenden Sie den Parameter ORTSEmergencyBrakingDisablesWSP (1).
Wenn WSP aktiv ist, wird die Anzeige des Bremszylinderdrucks im erweiterten Display des Bildschirms „BREMSINFORMATIONEN“ gelb angezeigt.
8.4.15 SME-Bremssystem (manchmal auch SEM genannt).
Bei der SME-Bremsanlage handelt es sich um ein gerades Druckluftbremssystem mit einer automatischen Notfunktion, wodurch die Einfachheit der geraden Druckluftbremse für den Servicebetrieb erhalten bleibt, aber auch über den zusätzlichen Schutz verfügt, der durch die automatische Betätigung der Bremse im Falle eines Notfalls geboten wird Einbruch oder das Platzen eines Schlauchs. SME-Bremsen werden typischerweise bei kurzen DMU-Schienensätzen verwendet. Das SME-Bremsen ist eine Form der elektropneumatischen Bremsung (EP).
Bremssystem, Fahrzeuge mit EP- und SME-Ausstattung können jedoch nicht in derselben Fahrzeugkombination kombiniert werden.
Um die SME-Bremsung zu aktivieren, legen Sie BrakeSystemType ( SME ) fest.
Folgende Bremsmarken können damit verwendet werden:
TrainBrakesControllerSMEOnlyStart
TrainBrakesControllerSMEFullServiceStart
TrainBrakesControllerSMEHoldStart
TrainBrakesControllerSMEReleaseStart
8.5 Sich dynamisch entwickelnde Zugkraft
Das Open Rails-Entwicklungsteam hat mit der maximalen/kontinuierlichen Zugkraft experimentiert, wobei diese während des Spiels mithilfe des Parameters ORTSMaxTractiveForceCurves dynamisch geändert werden kann, wie zuvor gezeigt. Die Parameter basierten auf dem Handbook of Railway Vehicle Dynamics. Dies besagt, dass die erhöhte Wärme des Fahrmotors den Widerstand erhöht, was den Strom und die Zugkraft verringert. Wir haben einen gleitenden Durchschnitt der tatsächlichen Zugkraft verwendet, um die Wärme in den Motoren abzuschätzen. Die Zugkraft darf gemäß der ENG-Datei maximal sein, wenn die durchschnittliche Wärmeberechnung nahe Null liegt. Wenn der Durchschnitt in der Nähe der Dauernennleistung liegt, wird die Zugkraft auf die Dauernennleistung herabgesetzt. Es gibt einen Parameter namens ORTSContinuousForceTimeFactor, der grob die Zeit steuert, über die die Zugkraft gemittelt wird. Der Standardwert ist 1800 Sekunden.
8.6 Kurvenwiderstand – Theorie
8.6.1 Einführung
Wenn ein Zug um eine Kurve fährt, erfährt er aufgrund des Widerstands des Gleises gegen die Fahrtrichtung (d. h. der Zug möchte geradeaus weiterfahren) einen erhöhten Widerstand, wenn er um die Kurve geschoben wird. Im Laufe der Jahre wurde viel darüber diskutiert, wie die Kurvenreibung genau berechnet werden kann. Die vorgestellte (und im OR verwendete) Berechnungsmethode soll repräsentativ für die Auswirkungen sein, die die Kurvenreibung auf die Leistung des Rollmaterials haben wird.
8.6.2 Faktoren, die die Kurvenreibung beeinflussen
Eine Reihe von Faktoren beeinflussen den Wert des Widerstands, den die Kurve der Zugbewegung bietet, wie folgt:
• Kurvenradius – je kleiner der Kurvenradius, desto größer, desto höher der Widerstand gegen den Zug
• Rollmaterial mit starrem Radstand – je länger der starre Radstand des Fahrzeugs ist, desto höher ist der Widerstand gegen den Zug. Moderne Drehgestellwagen weisen tendenziell einen kürzeren starren Radstand auf und sind nicht so schlecht wie die älteren 4-Rad-Wagen.
• Geschwindigkeit – die Geschwindigkeit des Zuges um die Kurve wirkt sich auf den Widerstandswert aus, typischerweise über und unter der Gleichgewichtsgeschwindigkeit (d. h. wenn alle Räder des Rollmaterials perfekt zwischen den Gleisen ausgerichtet sind). Siehe den Abschnitt unten „Auswirkungen der Überhöhung“.
Der Einfluss des Windwiderstands auf die Kurvenreibung wird in den allgemeinen Berechnungen zum Windwiderstand berechnet.
8.6.3 Auswirkungen eines starren Radstands
Die Länge des starren Radstands von Schienenfahrzeugen hat Einfluss auf den Wert des Kurvenwiderstands. Typischerweise ist bei Schienenfahrzeugen mit längeren starren Radständen in engen Kurven ein höherer Reibungs- oder Reibungswiderstand zu spüren als bei Fahrzeugen mit kleineren Radständen.
Dampflokomotiven stellten hierbei in der Regel das größte Problem dar, da sich ihre Antriebsräder in der Regel in einem einzigen starren Radstand befanden, wie in der Abbildung dargestellt. In einigen Fällen wurden auf Strecken mit engeren Kurven die Innenräder der Lokomotive manchmal flanschlos gemacht, damit sie über dem Gleiskopf schweben konnten. Bei Gelenklokomotiven wie der Shays waren die Antriebsräder in der Regel in Drehgestellen angeordnet, ähnlich denen von Diesellokomotiven, und wurden daher für Strecken mit engen Kurven bevorzugt.

Abb. 1: Diagrammquelle: The Baldwin Locomotive Works – Lokomotivdaten – 1944 Beispiel für einen starren Radstand in einer Dampflokomotive
Der für den starren Radstand verwendete Wert wird als Win-Zahl angezeigt
8.6.4 Auswirkungen der Überhöhung
In jeder Kurve, deren äußere Schiene überhöht ist, gibt es für jeden Wagen eine Betriebsgeschwindigkeit, bei der die Wagen nicht mehr dazu tendieren, auf eine Schiene zuzufahren, als auf geraden Gleisen, wo beide Schienenköpfe aneinander liegen gleichem Niveau (bekannt als Gleichgewichtsgeschwindigkeit). Bei niedrigeren Geschwindigkeiten tendieren die Drehgestelle dazu, ständig gegen die kurveninnere Schiene zu laufen und dadurch die Flanschreibung zu erhöhen; bei höheren Geschwindigkeiten laufen sie mit dem gleichen Effekt auf die Außenschiene zu. Dies lässt sich anhand der folgenden Abbildung verdeutlichen, in der die Kräfte dargestellt sind, die im Schwerpunkt eines Autos wirken.
Wenn der Wagen in der Kurve ruht, gibt es eine Gewichtskomponente W, die dazu neigt, den Wagen nach unten in Richtung der inneren Schiene zu bewegen. Wenn sich das Auto entlang der Strecke bewegt, kommt die Zentrifugalkraft Fc ins Spiel und die Bewegung des Autos wird durch die Kraft Fr gesteuert, die sich aus W und Fc ergibt. Die Kraft Fr hat ebenfalls eine Komponente, die immer noch das Bestreben hat, den Wagen in Richtung der inneren Schiene zu bewegen. Diese Tendenz bleibt bestehen, bis mit zunehmender Geschwindigkeit der Wert von Fc so groß wird, dass die Wirkungslinie von Fr mit der Mittellinie des Gleises senkrecht zur Schienenebene zusammenfällt. Bei dieser Gleichgewichtsgeschwindigkeit besteht keine Tendenz mehr, dass die Lastkraftwagen auf eine der beiden Schienen zufahren. Wenn die Geschwindigkeit noch weiter erhöht wird, steigt die Komponente von Fr wieder an, aber jetzt auf der gegenüberliegenden Seite der Mittellinie des Gleises und hat einen entgegengesetzten Sinn, was dazu führt, dass die Lastkraftwagen dazu neigen, sich in Richtung der äußeren statt der inneren Schiene zu bewegen. und dadurch die zusätzliche Flanschreibung wiederbeleben. Es sollte betont werden, dass die Flanschreibung, die aus dem hier diskutierten Kräftespiel entsteht, sich von der Flanschreibung, die dadurch entsteht, unterscheidet und über diese hinausgeht
die Wirkung der Flansche, die den LKW dazu zwingen, der Gleiskrümmung zu folgen. Da dieser Überschuss ein variabler Bestandteil des Kurvenwiderstands ist, können wir davon ausgehen, dass der Kurvenwiderstand einen Minimalwert erreicht, wenn dieser Überschuss auf Null abfällt, d. h. wenn die Fahrzeuggeschwindigkeit den genannten kritischen Wert erreicht. Diese kritische Geschwindigkeit hängt nur von der Überhöhung, der Spurweite und dem Radius der Gleiskrümmung ab. Die daraus resultierende Änderung des Kurvenwiderstands mit der Geschwindigkeit ist im Diagramm unten dargestellt.

Wo:
• R = Kurvenwiderstand,
• W= Fahrzeuggewicht,
• F = Reibungskoeffizient,
– 0,1 – 0,3 für nasse Schiene
– 0,5 für trockene, glatte Stahl-auf-Stahl-Verbindungen
• D = Spurweite,
• L = starrer Radstand,
• r = Kurvenradius.
(Quelle: Die moderne Lokomotive von C. Edgar Allen – 1912)
8.6.6 Berechnung des Einflusses der Kurvengeschwindigkeit
Der obige Wert stellt den kleinsten Widerstandswert dar, der bei der Gleichgewichtsgeschwindigkeit auftritt, und nimmt wie oben beschrieben zu, wenn die Zuggeschwindigkeit von der Gleichgewichtsgeschwindigkeit zunimmt und abnimmt. Dieses Konzept wird in der folgenden Grafik bildlich dargestellt. Open Rails verwendet die folgende Formel, um den Einfluss der Geschwindigkeit auf den Kurvenwiderstand zu modellieren:
SpeedF-Aktor = abs ((Vequilibrium – vtrain) x Vequilibrium) x ResistanceF-Aktorstart

Abb. 3: Verallgemeinerung der Variation des Kurvenwiderstands mit der Geschwindigkeit
8.6.7 Weitere Hintergrundinformationen
http://en.wikipedia.org/wiki/Curve_resistance_(railroad)
8.7 Kurvenwiderstand – Anwendung im OP
Open Rails modelliert diese Funktion, und der Benutzer kann die bekannten Radstandparameter angeben oder die oben genannten Standardvorgabewerte verwenden. OR berechnet die Gleichgewichtsgeschwindigkeit im Geschwindigkeitskurvenmodul. Es ist jedoch nicht erforderlich, beide Funktionen in der Registerkarte „Simulatoroptionen“ auszuwählen. Wählen Sie nur die gewünschte Funktion aus. Wenn Sie die Kräfteinformationstabelle im HUD studieren, können Sie die Änderung des Kurvenwiderstands beobachten, wenn sich Geschwindigkeit, Kurvenradius usw. ändern.
8.7.1 OR-Parameterwerte
Typische OR-Parameterwerte können im Wagon-Abschnitt der .wag- oder .eng-Datei eingegeben werden und haben das folgende Format:
ORTSRigidWheelBase (3in)
ORTSTrackGauge ( 4ft 8,5in) // (wird auch im Kurvengeschwindigkeitsmodul verwendet)
8.7.2 ODER-Standardwerte
Die oben genannten Werte können in die entsprechenden Dateien eingegeben werden. Wenn sie nicht vorhanden sind, verwendet OR alternativ die unten beschriebenen Standardwerte.
Starrer Radstand – als Standard ODER verwendet die oben im Abschnitt „Typische Werte für starren Radstand“ gezeigten Werte. Der Widerstandswert der Startkurve wurde mit 200 % angenommen und in die Geschwindigkeitsaufprallkurven eingebaut. OR berechnet den Kurvenwiderstand basierend auf den vom Spieler bereitgestellten tatsächlichen Radständen oder den entsprechenden Standardwerten. Dieser wird als Wert bei der Gleichgewichtsgeschwindigkeit verwendet und dann abhängig von der tatsächlich berechneten Gleichgewichtsgeschwindigkeit (vom Geschwindigkeitsbegrenzungsmodul) der Widerstand entsprechend der aktuellen Zuggeschwindigkeit hochgerechnet.
Näherungswert für den Radstand einer Dampflokomotive – der folgende Näherungswert wird verwendet, um den Standardwert für den festen Radstand einer Dampflokomotive zu bestimmen.
WheelBase = 1,25 x (Achsen - 1) x DrvWheelDiameter
8.7.3 Typische Werte für den starren Radstand
Die folgenden Werte werden als Standardwerte verwendet, sofern der Player keine tatsächlichen Werte bereitstellt.
| Fahrzeugtyp | Typischer Wert |
|---|---|
| Güterwagen mit Drehgestellen, 2-achsig | 5’ 6” (1.6764m) |
| Personenwagen mit Drehgestellen, 2-achsig | 8’ (2.4384m) |
| Personenwagen mit Drehgestellen, 3-achsig | 12’ (3.6576m) |
| Waggon mit 2 Achsen | 11’ 6” (3.5052m) |
| Waggon mit 3 Achsen | 12’ (3.6576m) |
| Tender (3-achsig) | 14’ 3” (4.3434m) |
| Brennkraft- und Elektrolokomotiven | Ähnlich wie bei Personenwagen |
| Dampflokomotiven | Abhängig von den Antriebsrädern #. Kann bis zu 20‘+ betragen, z.B. große 2–10–0 Lokomotiven |
Moderne Veröffentlichungen schlagen einen Zuschlag von etwa 0,8 lb pro Tonne (US) pro Krümmungsgrad für Gleise mit Normalspur vor. Bei sehr langsamen Geschwindigkeiten, beispielsweise 1 oder 2 Meilen pro Stunde, liegt der Kurvenwiderstand eher bei 1,0 Pfund (oder 0,05 % Steigung) pro Tonne und Grad der Kurve.
8.8 Super Elevation (Geschwindigkeitsbegrenzung in Kurven) – Theorie
8.8.1 Einführung
Wenn ein Zug um eine Kurve fährt, tendiert er dazu, in gerader Richtung zu fahren, und das Gleis muss dieser Bewegung widerstehen und den Zug zwingen, sich um die Kurve zu bewegen. Durch die gegenläufige Bewegung von Zug und Gleis wirken unterschiedliche Kräfte.
8.8.2 Eisenbahndesign des 19. und 20. Jahrhunderts im Vergleich zum modernen Eisenbahndesign
In den Anfängen des Eisenbahnbaus waren finanzielle Überlegungen ein wichtiger Faktor bei der Streckenplanung und -auswahl. Da die Geschwindigkeit konkurrierender Transportmittel wie Pferde- und Wassertransportmittel nicht sehr hoch war, wurde Geschwindigkeit im Entwurfsprozess nicht als wichtiger Faktor angesehen. Da der Schienenverkehr jedoch zu einem immer wichtigeren Bedürfnis der Gesellschaft wurde, wurde die Notwendigkeit, die Geschwindigkeit der Züge zu erhöhen, immer größer
wichtig. Dies führte zu vielen Verbesserungen in der Eisenbahnpraxis und -technik. Eine Reihe von Faktoren, wie zum Beispiel die Konstruktion des Rollmaterials sowie die Gleiskonstruktion, beeinflussen letztendlich die Höchstgeschwindigkeit eines Zuges. Heutige Hochgeschwindigkeitsbahnstrecken sind speziell auf die erwarteten Geschwindigkeiten des rollenden Materials ausgelegt.
8.8.3 Zentrifugalkraft
Eisenbahnlokomotiven, Waggons und Waggons, im Folgenden als Schienenfahrzeuge bezeichnet, geraten beim Kurvenfahren unter den Einfluss der Zentrifugalkraft. Zentrifugalkraft wird allgemein definiert als:
• Die scheinbare Kraft, die ein Objekt spürt, das sich auf einer gekrümmten Bahn bewegt und die vom Rotationszentrum nach außen wirkt.
• Eine nach außen gerichtete Kraft auf einen Körper, der sich um eine Achse dreht, von der angenommen wird, dass sie der Zentripetalkraft gleich und entgegengesetzt ist und die Phänomene erklärt, die ein Beobachter im rotierenden Körper beobachtet. In diesem Artikel ist unter der Verwendung des Ausdrucks „Zentrifugalkraft“ eine scheinbare Kraft wie oben definiert zu verstehen.
8.8.4 Wirkung der Zentrifugalkraft
Wenn Schienenfahrzeuge eine Kurve fahren und sich die Schienen des Gleises auf derselben Höhe befinden (d. h. die beiden Gleise befinden sich auf derselben Höhe), erzeugt die Kombination aus Zentrifugalkraft Fc und dem Gewicht des SchienenfahrzeugsW eine resultierende Kraft Fr, die nicht der Fall ist fallen mit der Mittellinie des Gleises zusammen und erzeugen so eine nach unten gerichtete Kraft auf die äußere Schiene des
Kurve, die größer ist als die nach unten gerichtete Kraft auf die Innenschiene (siehe Abbildung 1). Je größer die Geschwindigkeit und je kleiner der Kurvenradius (einige Eisenbahnen haben einen Kurvenradius von nur 100 m), desto weiter entfernt sich die resultierende Kraft Fr von der Mittellinie des Gleises. Die Gleichgewichtsgeschwindigkeit war die Geschwindigkeit, mit der ein Zug eine Kurve befahren konnte, wobei das Gewicht des Rollmaterials gleichmäßig auf alle Räder verteilt war.
Nähert sich der Ort der resultierenden Kraft Fr der Außenschiene, besteht die Gefahr, dass das Rollmaterial vom Gleis fällt oder umkippt. Die folgende Zeichnung veranschaulicht das beschriebene Grundkonzept. Seitliche Schwerpunktverlagerung zulässig durch das Federungssystem des Rollmaterials ist nicht dargestellt.
8.8.5 Verwendung von Super Elevation
Um der Wirkung der Zentrifugalkraft Fc entgegenzuwirken, kann die äußere Schiene der Kurve über die innere Schiene angehoben werden, wodurch der Schwerpunkt des Rollmaterials effektiv seitlich in Richtung der inneren Schiene verschoben wird. Dieses Verfahren wird allgemein als Superelevation bezeichnet. Wenn die Kombination aus seitlicher Verschiebung des Schwerpunkts durch die Überhöhung, Geschwindigkeit des rollenden Materials und Kurvenradius so ist, dass die resultierende Kraft Fr zwischen und senkrecht zu einer Linie quer zu den Fahrschienen zentriert wird, entsteht der Abwärtsdruck auf der Außenseite und die inneren Schienen der Kurve werden gleich sein. Die Superhöhe, die diesen Zustand für eine gegebene Geschwindigkeit und einen gegebenen Kurvenradius erzeugt, wird als ausgeglichene oder Gleichgewichtshöhe bezeichnet.

Fig. 4: Forces at work when a train rounds a curve

Fig. 5: This illustrates the concept.
8.8.6 Begrenzung der Überhöhung auf gemischten Personen- und Güterstrecken
Der typische frühe Eisenbahnbetrieb führte dazu, dass das Rollmaterial mit einer geringeren Geschwindigkeit als der Gleichgewichtsgeschwindigkeit betrieben wurde (alle Räder teilten sich das Gewicht des Rollmaterials gleichermaßen) oder dass es in Kurven völlig zum Stillstand kam. Unter solchen Umständen kann eine übermäßige Überhöhung zu einer Abwärtskraft führen, die ausreicht, um die innere Schiene der Kurve zu beschädigen, oder eine Entgleisung des Rollmaterials in Richtung der Mitte der Kurve verursachen, wenn Zugkraft auf einen Zug ausgeübt wird. Der routinemäßige Betrieb beladener Güterzüge mit niedriger Geschwindigkeit auf einer Kurve, die überhöht ist, um den Betrieb von Personenzügen mit höherer Geschwindigkeit zu ermöglichen, führt zu übermäßigem Verschleiß der inneren Schiene der Kurve durch die Güterzüge. Daher ist die Überhöhung bei dieser Art von Routen im Allgemeinen auf nicht mehr als 6 Zoll begrenzt.
8.8.7 Begrenzung der Überhöhung auf Hochgeschwindigkeitsstrecken für den Personenverkehr
Moderne Hochgeschwindigkeitsstrecken für den Personenverkehr befördern keine Züge mit langsamerer Geschwindigkeit und erwarten auch nicht, dass Züge in Kurven anhalten. Daher ist es möglich, diese Strecken mit höheren Gleishöhenwerten zu betreiben. Kurven auf solchen Strecken sind ebenfalls mit einem relativ flachen Radius ausgelegt und betragen typischerweise mehr als 2000 m (2 km) oder 7000 m (7 km), abhängig von der Geschwindigkeitsbegrenzung der Strecke.
| Parameters | Frankreich | Deutschland | Spanien | Süd-Korea | Japan |
|---|---|---|---|---|---|
| Geschwindigkeit (km/h) | 300/350 | 300 | 350 | 300/350 | 350 |
| Horizontaler Kurvenradius (m) | 10000 (10km) | 7000 (7km) | 7000 (7km) | 7000 (7km) | 4000 (4km) |
| Überhöhung (mm) | 180 | 170 | 150 | 130 | 180 |
| Maximale Steigung (mm/m) | 35 | 40 | 12.5 | 25 | 15 |
| Überhöhungsgefälle (mm/s) | 50 | 34.7 | 32 | N/A | N/A |
| Min. Vertikalradius (m) | 16000 (16km) | 14000 (14km) | 24000 (24km) | N/A | 10000 (10km) |
Tabelle: Kurvenparameter für den Hochgeschwindigkeitsbetrieb (Railway Track Engineering von J. S. Mundrey)
8.8.8 Maximale Kurvengeschwindigkeit
Die maximale Geschwindigkeit in einer Kurve kann die Gleichgewichtsgeschwindigkeit überschreiten, muss jedoch begrenzt werden, um einen Sicherheitsspielraum zu bieten, bevor die Kippgeschwindigkeit erreicht wird oder eine Abwärtskraft entsteht, die ausreicht, um die äußere Schiene der Kurve zu beschädigen. Diese Geschwindigkeit wird im Allgemeinen als maximale sichere Geschwindigkeit oder sichere Geschwindigkeit bezeichnet. Obwohl der Betrieb bei maximaler Sicherheitsgeschwindigkeit ein Umkippen des Rollmaterials oder Schienenschäden vermeidet, wird ein Fahrgast, der in einem herkömmlichen Personenkraftwagen fährt, die Zentrifugalkraft verspüren, die als Neigung zum seitlichen Verrutschen auf seinem Sitz wahrgenommen wird, was zu einem unangenehmen Gefühl der Instabilität führt. Um Unannehmlichkeiten für die Fahrgäste zu vermeiden, wird die Höchstgeschwindigkeit in einer Kurve daher auf das begrenzt, was allgemein als maximale Komfortgeschwindigkeit oder Komfortgeschwindigkeit bezeichnet wird. Betriebserfahrungen mit herkömmlichen Personenkraftwagen haben um 1980 zu der allgemein akzeptierten Praxis geführt, die maximale Geschwindigkeit für eine gegebene Kurve als gleich dem Ergebnis für die Berechnung der Gleichgewichtsgeschwindigkeit festzulegen, wobei ein zusätzlicher Betrag zur tatsächlichen Überhöhung addiert wird auf die Kurve angewendet werden. Dies wird oft als unausgeglichene Überhöhung oder Überhöhungsdefizit bezeichnet. Neigezüge wurden eingeführt, um einen schnelleren Zugbetrieb auf Gleisen zu ermöglichen, die ursprünglich nicht für den Hochgeschwindigkeitsbetrieb ausgelegt waren, sowie für den Hochgeschwindigkeitsbahnbetrieb. Durch die Neigung der Passagierkabine können größere Werte der unausgeglichenen Überhöhung genutzt werden.
8.8.9 Geschwindigkeitsbegrenzung auf gekrümmten Gleisen auf Nulldurchgangsebene
Das Konzept der maximalen angenehmen Geschwindigkeit kann auch verwendet werden, um die maximale Geschwindigkeit zu bestimmen, mit der Fahrzeuge gebogene Gleise ohne Überhöhung umrunden und auf dem Nulldurchgangsniveau gehalten werden dürfen. Die Führungskurve einer Weiche zwischen der Weiche und der Herzstückspitze ist ein Beispiel für ein gebogenes Gleis, das im Allgemeinen nicht überhöht ist. Andere ähnliche Standorte wären Hofgleise und Industriegleise, bei denen die durch Superelevation ermöglichte erhöhte Geschwindigkeitsfähigkeit nicht erforderlich ist. Unter solchen Umständen kann die maximal angenehme Geschwindigkeit für eine bestimmte Kurve auch die maximal zulässige Geschwindigkeit auf der tangentialen Strecke neben der Kurve sein.
8.8.10 Höhe des Schwerpunkts
Der Kurvenbetrieb mit Gleichgewichtsgeschwindigkeit führt dazu, dass der Schwerpunkt des Rollmaterials mit einem Punkt auf einer Linie zusammenfällt, die senkrecht zu einer Linie über die Fahrschienen verläuft und deren Ursprung in der Mitte zwischen den Schienen liegt. Unter dieser Bedingung spielt die Höhe des Schwerpunkts keine Rolle, da die resultierende Kraft Fr mit der oben beschriebenen Senkrechten zusammenfällt. Wenn Schienenfahrzeuge in einer überhöhten Kurve anhalten oder eine Kurve unter irgendeinem Ungleichgewichtszustand absolvieren, fällt die resultierende Kraft Fr nicht mit der zuvor beschriebenen senkrechten Linie zusammen und die Höhe des Schwerpunkts wird dann für die Bestimmung der Lage des Schwerpunkts von Bedeutung resultierende Kraft Fr relativ zur Mittellinie des Gleises. Die Elastizität des Aufhängungssystems von Schienenfahrzeugen unter Nichtgleichgewichtsbedingungen führt zu einem Rollelement, das die horizontale Verschiebung des Schwerpunkts beeinflusst und auch bei der Bestimmung des Ortes der resultierenden Kraft Fr berücksichtigt werden muss. 8.8.11 Berechnung der Kurvengeschwindigkeit Die allgemeine Formel zur Berechnung der verschiedenen Kurvengeschwindigkeiten lautet wie folgt:
Wo:
• E = Ea (Gleis-Superelevation) + Ec (unausgeglichene Superelevation)
• g = Erdbeschleunigung
• r = Kurvenradius
• G = Spurweite
8.8.12 Typische Überhöhungswerte und Auswirkungen auf die Geschwindigkeit – gemischte Personen- und Güterstrecken
Die unten angegebenen Werte sind „typisch“, können jedoch von Land zu Land variieren. Die Gleisüberhöhung beträgt normalerweise nicht mehr als 150 mm (6 Zoll). Selbstverständlich kann es je nach Kurvenradius zu Geschwindigkeitsbeschränkungen kommen. Normalerweise ist die unausgeglichene Überhöhung auf 3 Zoll (75 mm) beschränkt und normalerweise nur für Personenfahrzeuge zulässig. Neigezüge können Werte von bis zu 12 Zoll (305 mm) haben.
8.8.13 Typische Überhöhungswerte und Auswirkungen auf die Geschwindigkeit – Hochgeschwindigkeitsstrecken für den Personenverkehr
| Überhöhung D (Überhöhung) (mm) | Überhöhungsdefizit (unausgeglichene Überhöhung) I (mm) | |
|---|---|---|
| Geschwindigkeit (km/h) | 180–200 | 300 |
| HorizontCEN (Entwurf) – Neigezüge al Kurvenradius (m) | 150 | 270 |
| Tschechische Republik – Neigezüge | 180 | 260 |
| Frankreich – Neigezüge | 180 | 300 |
| Deutschland – Neigezüge | 160 | 275 |
| Italien – Neigezüge | 150 | 280 |
| Spanien - Neigezüge (Regelspur) | 160 (139) | 210 (182) |
| Schweden - Neigezüge | 150 | 245 |
| UK – Neigezüge | 180 | 300 |
Tabelle: Super Elevation-Grenzwerte (Quelle – Gleise für Neigezüge – Eine Studie im Rahmen des Fast And Comfort Trains (FACT)-Projekts von B. Kufver, R. Persson)
8.9 Super Elevation-Anwendung (Kurvengeschwindigkeitsbegrenzung) im OP
Open Rails implementiert diese Funktion und wendet standardmäßige Standardwerte an. Der Benutzer kann einige der in der obigen Formel verwendeten Standardparameter angeben.
8.9.1 OR Super Elevation-Parameter
Typische OR-Parameter können im Abschnitt „Wagon“ der .wag- oder .eng-Datei eingegeben werden und sind wie folgt formatiert. ORTSUnbalancedSuperElevation (3 Zoll) ORTSTrackGauge (4 Fuß 8,5 Zoll)
8.9.2 OR Super Elevation-Standardwerte
Die oben genannten Werte können in die entsprechenden Dateien eingegeben werden oder alternativ wird die folgende Funktionalität standardmäßig verwendet. OR verwendet zunächst den Geschwindigkeitsgrenzwert aus der .trk-Datei der Route, um zu bestimmen, ob es sich bei der Route um eine herkömmliche gemischte Fracht- und Personenroute oder um eine Hochgeschwindigkeitsroute handelt.
• Geschwindigkeitsbegrenzung < 200 km/h (125 mph) – Gemischte Fracht- und Passroute
• Geschwindigkeitsbegrenzung > 200 km/h (125 mph) – Hochgeschwindigkeits-Passagierroute
Basierend auf den oben genannten Klassifizierungen werden Standardwerte für die Gleisüberhöhung angewendet. Die Spurweite wird standardmäßig auf den Standardwert von 4 Fuß 8,5 Zoll (1435 mm) eingestellt. Die unausgeglichene Überhöhung (Überhöhungsdefizit) wird anhand des vom Benutzer eingegebenen Werts ermittelt oder standardmäßig auf die folgenden Werte eingestellt:
• Konventionelle Fracht – 0 Zoll (0 mm)
• Konventioneller Passagier – 3 Zoll (75 mm)
• Motoren und Tender – 6 Zoll (150 mm)
Neigezüge erfordern das Hinzufügen der relevanten unausgeglichenen Überhöhungsinformationen zu den relevanten Fahrzeugdateien.
8.10 Tunnelreibung – Theorie
8.10.1 Einführung
Wenn ein Zug durch einen Tunnel fährt, erfährt er einen erhöhten Widerstand gegen die Vorwärtsbewegung.
Im Laufe der Jahre wurde viel darüber diskutiert, wie der Tunnelwiderstand genau berechnet werden kann. Die vorgestellte (und im OR verwendete) Berechnungsmethode soll eine indikative Darstellung der Auswirkungen des Tunnelwiderstands auf die Leistung von Fahrzeugen liefern.
8.10.2 Einflussfaktoren auf die Tunnelreibung
Im Allgemeinen hängt die Aerodynamik des Zuges mit dem Luftwiderstand, Druckschwankungen im Zuginneren, durch den Zug verursachten Strömungen, Seitenwindeffekten, Bodeneffekten, Druckwellen im Tunnel, Impulswellen am Tunnelausgang, Lärm und Vibrationen usw. zusammen Der Luftwiderstand hängt von der Querschnittsfläche des Zugkastens, der Zuglänge, der Form der Vorder- und Hinterwagen des Zuges, der Oberflächenrauheit des Zugkastens und den geografischen Bedingungen rund um den fahrenden Zug ab. Die durch den Zug verursachten Strömungen können die Fahrgäste auf einem U-Bahnsteig beeinflussen und hängen auch mit der Querschnittsfläche des Zugkörpers, der Zuglänge, der Form der Vorder- und Hinterwagen des Zuges, der Oberflächenrauheit des Zugkörpers usw. zusammen.
Ein Hochgeschwindigkeitszug, der in einen Tunnel einfährt, erzeugt am Einfahrtsportal eine Kompressionswelle, die sich mit Schallgeschwindigkeit vor dem Zug bewegt. Durch die Reibung der verdrängten Luft an der Tunnelwand entsteht ein Druckgefälle und damit ein Druckanstieg vor dem Zug. Beim Erreichen des Ausgangsportals des Tunnels wird die Kompressionswelle als Expansionswelle zurückreflektiert, ein Teil verlässt jedoch den Tunnel und strahlt als Mikrodruckwelle nach außen. Diese Welle könnte einen Überschallknall verursachen, der zu strukturellen Vibrationen und Lärmbelästigung in der Umgebung führen kann. Das Einfahren des Zugendes in den Tunnel erzeugt eine Expansionswelle, die sich durch den Ringraum zwischen Zug und Tunnel bewegt. Wenn die Expansionsdruckwelle das Eintrittsportal erreicht, wird sie als Kompressionswelle ins Tunnelinnere reflektiert. Diese Kompressions- und Expansionswellen breiten sich entlang des Tunnels hin und her aus und erfahren weitere Reflexionen, wenn sie auf die Spitze und das Ende des Zuges treffen oder die Ein- und Ausgangsportale des Tunnels erreichen, bis sie sich schließlich vollständig auflösen.
Das Vorhandensein dieses Druckwellensystems in einem Tunnel wirkt sich auf die Konstruktion und den Betrieb von Zügen aus und verursacht Energieverluste, Lärm, Vibrationen und akustische Beschwerden für die Fahrgäste.
Diese Probleme werden noch schlimmer, wenn sich zwei oder mehr Züge gleichzeitig in einem Tunnel befinden. Der Hörkomfort ist einer der Hauptfaktoren, der die Fläche neuer Tunnel oder die maximale Zuggeschwindigkeit in bestehenden Tunneln bestimmt.
8.10.3 Bedeutung des Tunnelprofils
Wie oben beschrieben, erzeugt ein Zug, der durch einen Tunnel fährt, vor sich eine Bugwelle der Luftbewegung, die einem Kolbeneffekt ähnelt. Das Ausmaß und die Auswirkungen dieses Effekts werden hauptsächlich durch das Tunnelprofil, das Zugprofil und die Geschwindigkeit bestimmt.


Typische Tunnelprofile sind in den Diagrammen dargestellt.
Wie aus diesen Diagrammen ersichtlich ist, gilt: Je kleiner die Tunnelquerschnittsfläche im Vergleich zur Zugquerschnittsfläche, desto weniger Luft kann um den Zug herum entweichen und desto größer ist daher der Widerstand, den der Zug erfährt. Daraus lässt sich schließen, dass ein einzelner Zug in einem zweigleisigen Tunnel weniger Widerstand erfährt als ein einzelner Zug in einem eingleisigen Tunnel.
8.10.4 Berechnung des Tunnelwiderstands

| Ft – Tunnelquerschnittsfläche (m²) | Ftr – Zugquerschnittsfläche (m²) |
|---|---|
| 𝜌 – Luftdichte ( = 1,2 kg/m³ ) | Rt – Tunnelumfang (m) |
| Ltr – Länge des Zuges (m) | Lt – Länge des Tunnels (m) |
| v – Zuggeschwindigkeit (m/s) | P – Masse der Lokomotive (t) |
| Wt – zusätzlicher Luftwiderstand im Tunnel (N/kN) | G – Zugmasse (t) |
Quelle: Angemessener Kompensationskoeffizient des maximalen Gefälles in langen Eisenbahntunneln von Sirong YI*, Liangtao NIE, Yanheng CHEN, Fangfang QIN
8.11 Tunnelreibung – Anwendung im OP
Der Tunnelwiderstand soll die relative Auswirkung auf den aktuellen Zug modellieren und berücksichtigt nicht mehrere Züge gleichzeitig im Tunnel.
Die Tunnelwiderstandswerte können im Train Forces HUD eingesehen werden.
Das Standard-Tunnelprofil wird durch die in der TRK-Datei aufgezeichnete Streckengeschwindigkeit bestimmt.
8.11.1 ODER-Parameter
Die folgenden Parameter können in der TRK-Datei enthalten sein, um von Open Rails verwendete Standardwerte zu überschreiben:
• ORTSSingleTunnelArea (x) – Querschnittsfläche des eingleisigen Tunnels – Einheitenfläche
• ORTSSingleTunnelPerimeter (x) – Umfang des eingleisigen Tunnels – Entfernungseinheiten
• ORTSDoubleTunnelArea (x) – Querschnittsfläche des zweigleisigen Tunnels – Einheitenfläche
• ORTSDoubleTunnelPerimeter (x) – Umfang des zweigleisigen Tunnels – Entfernungseinheiten
Um diese Werte in die .trk-Datei einzufügen, wird empfohlen, sie direkt vor der letzten Klammer einzufügen. Sie können auch die hier beschriebene Methode „Datei einschließen“ verwenden.
8.11.2 ODER-Standardwerte
Open Rails verwendet die folgenden Standardvorgaben, sofern sie nicht durch in der TRK-Datei enthaltene Werte überschrieben werden.
| Geschwindigkeit | 1 Gleis | 2 Gleise |
|---|---|---|
| Tunnelumfang | ||
| < 160 km/h | 21.3 m | 31.0 m |
| 160 < 200 km/h | 25.0 m | 34.5 m |
| 200 < 250 km/h | 28.0 m | 35.0 m |
| 250 < 350 km/h | 32.0 m | 37.5 m |
| Tunnelquerschnittsfläche | ||
| < 120 km/h | 27.0 m³ | 45.0 m² |
| < 160 km/h | 42.0 m² | 76.0 m² |
| 200 km/h | 50.0 m² | 80.0 m² |
| 250 km/h | 58.0 m² | 90.0 m² |
| 350 km/h | 70.0 m² | 100.0 m² |
8.12 Windwiderstand
Die standardmäßige Davis-Widerstandsformel gilt nur für den Zugbetrieb in STILLER Luft. Bei hohen Zuggeschwindigkeiten und insbesondere bei sehr schnellen Zügen kann der Einfluss des Windes sehr erheblich sein, und bei der Konstruktion von Fahrzeugen usw. ist besondere Berücksichtigung erforderlich. Wenn Wind vorhanden ist, variieren die Auswirkungen der Widerstandskräfte auf den Zug zusätzlich zu den unter Standardbedingungen (oder Ruheluftbedingungen) berechneten Werten erfolgen.
Der Windwiderstand in OR wird durch die folgenden zwei Komponenten modelliert:
Windwiderstand – Wenn ein Zug in Gegenwind fährt, erfährt der Zug einen größeren Bewegungswiderstand. Wenn der Zug Rückenwind hat, nimmt der Widerstand des Zuges ebenfalls ab, da der Wind als „helfende Hand“ fungiert. Wenn der Wind von der Spitze des Zuges nach hinten schwenkt, nimmt der Widerstand ab. Wenn der Wind senkrecht zum Zug weht, ist der durch den Wind verursachte Widerstandseffekt gleich Null. Widerstand gegen seitliche Windkräfte – Wenn der Wind von der Seite des Zuges weht, wird der Zug gegen die äußere Gleisschiene gedrückt, wodurch sich der Widerstand erhöht, dem der Zug ausgesetzt ist.
Um die Berechnung des Windwiderstands zu aktivieren, aktivieren Sie das Kontrollkästchen „Windabhängiger Widerstand“ auf der Registerkarte „Simulation“ des Optionsmenüs. Da der Wind erst bei höheren Zuggeschwindigkeiten ins Gewicht fällt, beginnt die Berechnung des Windwiderstands erst, wenn die Zuggeschwindigkeit 5 Meilen pro Stunde überschreitet.
Der Windwiderstand, dem der Zug ausgesetzt ist, wird im FORCES INFORMATION HUD angezeigt. (siehe beigefügter Screenshot) Die aktuellen Windbedingungen werden auch im HUD angezeigt und umfassen die Windgeschwindigkeit und -richtung, die Zugrichtung und die resultierenden Vektoren für die kombinierte Zug- und Windgeschwindigkeit. Der Wert in der Spalte „Reibung“ entspricht den standardmäßigen Ruheluftbedingungen, wie sie mit der Davis-Formel berechnet werden. Es ist zu beachten, dass OR den Windwiderstand als Differenz zum Davis C-Wert bei ruhender Luft berechnet und es daher möglich ist, dass die Werte in der Spalte „Wind“ gelegentlich negativ werden. Dies ist am wahrscheinlichsten, wenn der Wind von der Rückseite des Zuges weht, dh die ResWind-Richtung größer als 90 °C ist und der Wind somit tatsächlich die Bewegung des Zuges unterstützt und tatsächlich den Widerstand der ruhenden Luft verringert.
Das Windmodell wurde wie folgt angepasst:
• Windaktualisierungsgeschwindigkeit – 1 Sek
• Die Windrichtung liegt immer innerhalb von +/- 45 °C Grad des zufällig ausgewählten Standardwerts, der beim Start ausgewählt wurde
• Die Windgeschwindigkeit ist auf ca. 10 Meilen pro Stunde begrenzt.
Das Windwiderstandsmodell verwendet Standardinformationen wie die Breite und Höhe des Schafts aus der Größenangabe, sodass standardmäßig keine zusätzlichen Parameter für seinen Betrieb hinzugefügt werden müssen. Wer jedoch Anpassungen vornehmen möchte, kann die folgenden Parameter über die WAG-Datei oder den WAG-Abschnitt eingeben.
ORTSWagonFrontalArea – Die vordere Querschnittsfläche des Wagens. Die Standardeinheiten sind ft^2. Wenn Sie also Meter eingeben, schließen Sie auch die Maßeinheiten ein.
ORTSDavisDragConstant – OR verwendet standardmäßig die Standard-Davis-Drag-Konstanten. Wenn bei der Berechnung des Ruheluftwiderstands alternative Widerstandskonstanten verwendet werden, kann es sich lohnen, diese Werte einzugeben.
8.13 Schleppwiderstand der Lokomotive
Normalerweise ist für jede WAG-Datei nur ein Satz Widerstandsparameter zulässig. Bei Lokomotiven kann dies zu Problemen führen, da eine führende Lokomotive einen höheren Widerstandswiderstand aufweist als eine nachfolgende Lokomotive.
ODER passt den Widerstandswiderstand für nachlaufende Lokomotiven automatisch an, basierend auf dem Verhältnis der ursprünglichen Davis-Formel.
Für diejenigen, die jedoch Anpassungen vornehmen möchten, kann der folgende Parameter über die WAG-Datei oder den WAG-Abschnitt eingegeben werden.
ORTSTrailLocomotiveResistanceFactor – Der konstante Wert, um den der Widerstand der führenden Lokomotive für den Schleppbetrieb verringert werden muss.
Bei Dampflok-Tendern kann es erforderlich sein, diesen Wert einzugeben, abhängig von der Widerstandskonstante, die zur Berechnung des Tender-Widerstands verwendet wird.
8.14 OR-spezifische Include-Dateien zum Ändern von MSTS-Dateiparametern
8.14.1 Änderungen an .eng- und .wag-Dateien
In den vorangehenden Absätzen wurde vielfach auf OR-spezifische Parameter und Tabellen verwiesen, die in .eng- und .wag-Dateien enthalten sein sollen. MSTS ist im Allgemeinen recht tolerant, wenn es unbekannte Parameter und sogar Blöcke in .eng- und .wag-Dateien findet, und läuft normal weiter. Allerdings wird diese Vorgehensweise vom OP-Team nicht gefördert. Stattdessen wurde ein saubererer Ansatz, wie hier beschrieben, implementiert.
Erstellen Sie im Zugset-Ordner, der die zu aktualisierenden .eng- und .wag-Dateien enthält, einen Unterordner mit dem Namen OpenRails. Nur OR liest Dateien aus diesem Ordner. In diesem Unterordner muss eine Textdatei mit dem Namen xxxx.eng oder xxxx.wag erstellt werden, wobei xxxx.eng oder xxxx.wag der Name der Originaldatei ist.
Diese neue Datei kann Folgendes enthalten:
• alle in der Originaldatei enthaltenen Informationen (unter Verwendung (gegebenenfalls geänderter Teile) plus ggf. der OR-spezifischen Teile, oder:
• Am Anfang nur ein Include-Verweis auf die Originaldatei, gefolgt von den geänderten Teilen und den OR-spezifischen Teilen. Dies gilt nicht für die Name()-Anweisung und die Lokbeschreibungsinformationen, wobei in jedem Fall die Daten in der Basisdatei .eng beibehalten werden.
Ein Beispiel für eine OR-spezifische bc13ge70tonner.eng-Datei, die im OpenRails-Unterordner abgelegt werden soll und die zweite Möglichkeit nutzt, lautet wie folgt:
include ( ../bc13ge70tonner.eng )
Wagon (
MaxReleaseRate ( 2.17 )
MaxApplicationRate ( 3.37 )
MaxAuxilaryChargingRate ( .4 )
EmergencyResChargingRate ( .4 )
BrakePipeVolume ( .4 )
ORTSUnbalancedSuperElevation ( 3in )
Engine (
AirBrakeMainresvolume ( 16 )
MainResChargingRate ( .5 )
BrakePipeChargingRate ( 21 )
EngineBrakeReleaseRate ( 12.5 )
EngineBrakeApplicationRate ( 12.5 )
BrakePipeTimeFactor ( .00446 )
BrakeServiceTimeFactor ( 1.46 )
BrakeEmergencyTimeFactor ( .15 )
ORTSMaxTractiveForceCurves (
0 (
0 0 50 0 )
.125 (
0 23125
.3 23125
1 6984
2 3492
5 1397
10 698
20 349
50 140 )
.25 (
0 46250
.61 46250
1 27940
2 13969
5 5588
10 2794
20 1397
50 559 )
.375 (
0 69375
.91 69375
2 31430
5 12572
10 6287
20 3143
50 1257 )
.5 (
0 92500
1.21 92500
5 22350
10 11175
20 5588
50 2235 )
.625 (
0 115625
1.51 115625
5 34922
10 17461
20 8730
50 3492 )
.75 (
0 138750
1.82 138750
5 50288
10 25144
20 12572
50 5029 )
.875 (
0 161875
2.12 161875
5 68447
10 34223
20 17112
50 6845 )
1 (
0 185000
2.42 185000
5 89400
10 44700
20 22350
50 8940 )
)
)
)
Beachten Sie, dass die erste Zeile leer sein muss (vor der Include-Zeile).
Wenn sich mehrere Triebzüge im selben Ordner befinden und dieselben zusätzlichen .wag- oder .eng-Dateien mit genau demselben Inhalt benötigen, ist es sinnvoll, den herkömmlichen Dateinamen [[SameName]] zu verwenden. OR ersetzt diesen Dateinamen durch den Dateinamen der Datei, die die Include-Anweisung enthält. Also, im Fall des obigen Beispiels, statt:
include ( ../bc13ge70tonner.eng )
Folgendes kann geschrieben werden:
include ( ../[[SameName]] )
Auf diese Weise hätten alle zusätzlichen .wag- oder .eng-Dateien, die sich auf ähnliche Triebzüge beziehen, genau den gleichen Inhalt, was die Bearbeitungszeit drastisch verkürzt.
Die ORTSMaxTractiveForceCurves bestehen aus Blöcken von Parameterpaaren, die die Geschwindigkeit in Metern pro Sekunde und die Zugkraft in Newton darstellen; Diese Blöcke beziehen sich jeweils auf den Wert der Drosselklappeneinstellung, der oben in jedem Block vorhanden ist. Für Zwischenwerte der Geschwindigkeit wird ein interpolierter Wert berechnet, um die Zugkraft zu erhalten, und die gleiche Methode gilt für Zwischenwerte des Gashebels.
Wenn sich der für OR geänderte Parameter in einem benannten (d. h. in Klammern gesetzten) Block in der Originaldatei befindet, muss er in der OpenRails-Datei in einen passenden in Klammern gesetzten Block eingefügt werden. Beispielsweise ist es nicht möglich, nur einen Teil des Lights()-Blocks zu ersetzen. Es muss vollständig ersetzt werden. Um beispielsweise ein anderes Cabview() zu verwenden, muss es in einen Engine-Block eingeschlossen werden:
Engine ( BNSF4773
CabView ( dash9OR.cvf )
)
Dies ist auch bei bestimmten Bremsparametern erforderlich; Um die Neuinitialisierung der Bremsparameter korrekt zu verwalten, muss der gesamte Block, der sie enthält, in der .eng-Datei im OpenRails-Ordner vorhanden sein.
Diese Verwendung des Include-Befehls kann erweitert werden, um ihn auf Abschnitte von Gruppen von .wag- oder .eng-Dateien anzuwenden, die der Benutzer durch einen bestimmten Datenblock ersetzen möchte – die Parameter können durch eine Textdatei bereitgestellt werden, die sich außerhalb des Üblichen befindet MSTS-Ordner; z.B. Bremsparameter.
8.15 Gemeinsame Lokomotiv-Subsysteme
8.15.1 Batterieschalter
Der Batterieschalter steuert die Niederspannungsversorgung der Lokomotive. Wenn die Niederspannungsversorgung deaktiviert wird, werden alle Systeme der Lokomotive deaktiviert (z. B. öffnet sich der Leistungsschalter und der Stromabnehmer fällt herunter).
Der Batterieschalter aller Lokomotiven in einem Verbund kann durch die Befehle „Batterieschalter schließen steuern“ und „Batterieschalter öffnen öffnen“ gesteuert werden (standardmäßig <Einfügen> und <Strg+Einfügen>). Der Status des Batterieschalters wird durch den Batterieschalterwert in der HUD-Ansicht angezeigt.
Es stehen drei Verhaltensweisen zur Verfügung:
• Standardmäßig ist der Batterieschalter immer geschlossen (entspricht MSTS).
• Der Batterieschalter kann auch direkt vom Fahrer über einen Schalter gesteuert werden. Um dieses Verhalten zu erzielen, fügen Sie den Parameter ORTSBattery( Mode ( Switch ) ) in den Engine-Abschnitt der ENG-Datei ein.
• Der Batterieschalter kann auch direkt vom Fahrer über zwei Drucktasten gesteuert werden. Um dieses Verhalten zu erzielen, fügen Sie den Parameter ORTSBattery( Mode ( PushButtons ) ) in den Engine-Abschnitt der ENG-Datei ein.
Im wirklichen Leben schließt der Batterieschalter möglicherweise nicht sofort, daher können Sie mit dem optionalen Parameter ORTSBattery( Delay ( ) ) eine Verzögerung hinzufügen (standardmäßig in Sekunden).
Es ist möglich, dass der Batterieschalter zu Beginn der Simulation eingeschaltet wird. Um dieses Verhalten zu aktivieren, können Sie den optionalen Parameter ORTSBattery( DefaultOn ( 1 ) ) hinzufügen.
Beispiel:
Engine (
ORTSBattery (
Mode ( PushButtons )
Delay ( 2s )
DefaultOn ( 1 )
)
)
Der Zustand des Batterieschalters kann in den Stromversorgungsskripten und den Cabview-Steuerelementen verwendet werden.
8.15.2 Hauptschlüssel
Der Hauptschlüssel steuert die Stromversorgung der Kabine. Wenn die Stromversorgung der Kabine deaktiviert wird, werden alle Systeme der Kabine deaktiviert (z. B. schaltet sich die Geschwindigkeitsanzeige aus, der Gashebel wird deaktiviert usw.).
Der Hauptschlüssel der aktuellen Kabine kann mit dem Befehl „Hauptschlüssel steuern“ (standardmäßig <Enter>) gesteuert werden. Der Status des Hauptschlüssels wird durch den Hauptschlüsselwert in der HUD-Ansicht angezeigt.
Es stehen zwei Verhaltensweisen zur Verfügung:
• Standardmäßig ist der Hauptschlüssel immer aktiviert (entspricht MSTS).
• Der Hauptschlüssel kann auch vom Fahrer gesteuert werden. Um dieses Verhalten zu erzielen, fügen Sie den Parameter ORTSMasterKey ( Mode ( Manual ) ) in den Engine-Abschnitt der ENG-Datei ein.
Im wirklichen Leben schalten sich die Kabinensysteme beim Ausschalten des Hauptschlüssels möglicherweise nicht sofort aus. Daher können Sie mit dem optionalen Parameter ORTSMasterKey ( DelayOff ( ) ) eine Verzögerung hinzufügen (standardmäßig in Sekunden).
Der Hauptschlüssel kann auch die Scheinwerfer mehrerer Einheiten steuern. Beispielsweise können beim Einschalten des Hauptschlüssels die roten Lichter automatisch durch die weißen Lichter ersetzt werden. Um dieses Verhalten zu aktivieren, fügen Sie den Parameter ORTSMasterKey (HeadlightControl (1)) in den Engine-Abschnitt der ENG-Datei ein.
Beispiel:
Engine (
ORTSMasterKey (
Mode ( Manual )
DelayOff ( 10s )
HeadlightControl ( 1 )
)
)
Der Zustand des Hauptschlüssels kann in den Stromversorgungsskripten und den Cabview-Steuerelementen verwendet werden.
8.15.3 Serviceeinbehalt
Durch die Betriebserhaltung ist es möglich, die Anlagen des Zuges auch dann mit Strom zu versorgen, wenn ein Führerstand nicht in Betrieb ist. Es hält die Stromabnehmer hoch und den Leistungsschalter geschlossen, auch wenn der Hauptschlüssel ausgeschaltet ist.
Diese Funktion kann nur mit einem benutzerdefinierten Stromversorgungsskript verwendet werden.
Die Dienstaufbewahrung kann durch die Befehle „Dienstaufbewahrung steuern“ und „Aufhebung der Dienstaufbewahrung steuern“ gesteuert werden (standardmäßig <Löschen> und <Strg+Entf>).
Für diese Funktionalität stehen auch Cabview-Steuerelemente zur Verfügung.
8.15.4 Elektrische Zugversorgung
Die elektrische Zugversorgung versorgt Personenwagen und beheizte Waggons mit Strom, um die Batterieladegeräte sowie die Heizungs-, Lüftungs- und Klimaanlagen zu betreiben.
Die Stromversorgung des elektrischen Zuges kann mit dem Befehl „Stromversorgung des Zuges steuern“ (standardmäßig <Alt+B>) gesteuert werden. Der Status des Schaltzustands der elektrischen Zugversorgung wird durch den Wert der elektrischen Zugversorgung in der HUD-Ansicht angezeigt.
Es stehen drei Verhaltensweisen zur Verfügung:
• Standardmäßig erfolgt die elektrische Zugversorgung automatisch (sie schaltet sich ein, sobald die Hilfsstromversorgung eingeschaltet ist).
• Die Lokomotive kann auch nicht mit elektrischer Zugversorgung ausgestattet werden. Um dieses Verhalten zu erzielen, fügen Sie den Parameter ORTSElectricTrainSupply (Mode (Unfitted)) in den Engine-Abschnitt der ENG-Datei ein.
• Auch die elektrische Zugversorgung kann vom Triebfahrzeugführer gesteuert werden. Um dieses Verhalten zu erhalten, fügen Sie den Parameter ORTSElectricTrainSupply ( Mode ( Switch ) ) in den Engine-Abschnitt der ENG-Datei ein.
Beispiel:
Engine (
ORTSElectricTrainSupply (
Mode ( Switch )
)
)
Handelt es sich bei der Lokomotive um eine Diesellokomotive, steht die von den Waggons im elektrischen Zugnetz aufgenommene Energie nicht mehr für die Traktion zur Verfügung.
Der Zustand der elektrischen Zugversorgung kann in den Skripten für die Stromversorgung von Lokomotiven, in den Skripten für die Stromversorgung von Personenwagen und in den Führerstandssteuerungen verwendet werden.
8.15.5 Zugbeeinflussungssystem
Das Train Control System ist ein System, das die Sicherheit des Zuges gewährleistet.
In MSTS wurden 4 TCS-Monitore definiert: der Wachsamkeitsmonitor, der Übergeschwindigkeitsmonitor, der Notstopp-Monitor und der AWS-Monitor. Open Rails unterstützt den AWS-Monitor nicht.
Um das Verhalten der Monitore zu definieren, müssen Sie für jeden Monitor eine Gruppe von Parametern im Abschnitt „Engine“ der .eng-Datei hinzufügen. Diese Gruppen heißen VigilanceMonitor(), OverspeedMonitor(), EmergencyStopMonitor() und AWSMonitor().
In jeder Gruppe können Sie mehrere Parameter definieren, die in den folgenden Tabellen beschrieben werden.
| Parameter | Beschreibung | Empfohlene Eingabeeinheiten | Typische Beispiele |
|---|---|---|---|
| Allgemeine Parameter | |||
| MonitoringDeviceMonitor- TimeLimit( x ) | Zeitspanne, die vergeht, bevor der Alarm oder die Strafe ausgelöst wird | Zeit | (5s) |
| MonitoringDeviceAlarmTime- Limit( x ) | Zeitraum, für den der Alarm ertönt, bevor die Strafe verhängt wird | Zeit | (5s) |
| MonitoringDevicePenalty- TimeLimit( x ) | Zeitraum in Sekunden, bevor die Strafe nach ihrer Auslösung zurückgesetzt werden kann | Zeit | (5s) |
| MonitoringDeviceCritical- Level( x ) | Geschwindigkeit, mit der der Monitor auslöst | Geschwindigkeit | (200kph) |
| MonitoringDeviceResetLevel( x ) | Geschwindigkeit, mit der der Monitor zurückgesetzt wird | Geschwindigkeit | (5kph) |
| MonitoringDeviceApplies- FullBrake( x ) | Legt fest, ob Vollbremsung angewendet wird | Boolean – 0 oder 1 | (0) |
| MonitoringDeviceAppliesEmergencyBrake( x ) | Legt fest, ob eine Notbremsung durchgeführt wird | Boolean – 0 oder 1 | (1) |
| MonitoringDeviceApplies- CutsPower( x ) | Legt fest, ob die Stromversorgung der Lokomotive unterbrochen wird | Boolean – 0 oder 1 | (1) |
| MonitoringDeviceAppliesShutsDownEngine( x ) | Legt fest, ob der Motor abgeschaltet wird | Boolean – 0 oder 1 | (0) |
| MonitoringDeviceResetOnDirectionNeutral( x ) | Legt fest, ob der Monitor zurückgesetzt wird, wenn sich der Reversierer in der neutralen Position befindet | Boolean – 0 oder 1 | (0) |
| MonitoringDeviceResetOn- ResetButton( x ) | Legt fest, ob der Monitor zurückgesetzt wird, wenn die Reset-Taste gedrückt wird | Boolean – 0 oder 1 | (0) |
| MonitoringDeviceResetOnZeroSpeed( x ) | Legen Sie fest, ob der Monitor zurückgesetzt wird, wenn die Geschwindigkeit Null ist | Boolean – 0 oder 1 | (1) |
| Specific parameters of the Overspeed Monitor | |||
| MonitoringDeviceAlarmTime- BeforeOverSpeed( x ) | Zeitraum, für den der Alarm ertönt, bevor die Strafe verhängt wird | Zeit | (2s) |
| MonitoringDeviceTriggerOnOverspeed( x ) | Maximal zulässige Geschwindigkeit | Geschwindigkeit | (200kph) |
| MonitoringDeviceTriggerOn- TrackOverspeed( x ) | Aktiviert die Übergeschwindigkeitsmargenkontrolle | Boolean – 0 oder 1 | (1) |
| MonitoringDeviceTriggerOn- TrackOverspeedMargin( x ) | Erlaubte Übergeschwindigkeit | Geschwindigkeit | (5kph) |
Zwei weitere Parameter im Engine-Abschnitt der ENG-Datei werden vom TCS verwendet:
• DoesBrakeCutPower( x ) legt fest, ob das Betätigen der Bremse der Lokomotive die Traktion unterbricht (1 für aktiviert, 0 für deaktiviert).
• BrakeCutsPowerAtBrakeCylinderPressure( x ) legt den Mindestdruck im Bremszylinder fest, der die Traktion unterbricht (standardmäßig 4 PSI).
8.15.6 Zugentgleisung
Open Rails berechnet, wann es wahrscheinlich ist, dass es zu einer Zugentgleisung gekommen ist. Die modellierte Entgleisung basiert darauf, dass das Rad die Schiene hochklettert, wenn sich der Zug in einer Kurve befindet. Leichte (leere) Waggons können manchmal entgleisen, weil die Zugkräfte versuchen, den Zug in einer geraden Linie zu ziehen, anstatt der Kurve zu folgen.
OR berechnet die Nadal-Kriterien für jeden Wagen und berechnet dann das tatsächliche L/V-Verhältnis basierend auf dem Wagengewicht und den relevanten „im Zug“-Kräften. Open Rails verwendet einige berechnete Standardparameter für die verschiedenen Parameter, die zur Bestimmung des tatsächlichen L/V-Verhältnisses erforderlich sind. Genauere Ergebnisse werden jedoch erzielt, wenn tatsächliche Parameter in die ENG- oder WAG-Datei eingegeben werden. Für die Entgleisungsberechnungen werden Informationen zu Wagenabmessungen, Gewicht und Radprofilinformationen verwendet.
Radprofildetails können mit den folgenden zwei Parametern eingegeben werden:
• ORTSMaximumWheelFlangeAngle – Der Spurkranzwinkel ist als der maximale Winkel des Spurkranzes relativ zur horizontalen Achse de niert.
Maßeinheit – Winkel (Grad, Bogenmaß) – Standard ist Rad. Normalerweise liegt dieser Wert zwischen etwa 60 und 75 Grad.
• ORTSWheelFlangeLength – Die Winkellänge des Rades ist als die Länge des Winkels definiert, beginnend mit dem Beginn des maximalen Winkelwinkels
bis zu dem Punkt, an dem sich der Flanschwinkel auf 26,6 Grad verringert. Maßeinheit – Entfernung (m, Zoll, Fuß usw.) – Standard ist m
8.16 EOT – Zugendegerät
8.16.1 Allgemeines
Grundlegende Informationen zu EOTs finden Sie unter https://en.wikipedia.org/wiki/End-of-train_device.
EOTs in Open Rails können drei verschiedene Ebenen (Typen) haben:
- Keine Kommunikation: „dumme“ EOTs, wie Flaggen oder blinkende Lampen
- Eine Möglichkeit: Das EOT ist in der Lage, den Bremsleitungsdruck␣˓→am Ende des Zuges an die Führungslokomotive zu übertragen
- Zwei-Wege: Das EOT kann auch einen Befehl zum Entlüften der Druckluftbremsleitung empfangen.
8.16.2 So definieren Sie einen EOT
EOTs müssen in Unterordnern des Ordners Trains\ORTS_EOT definiert werden. Diese Unterordner enthalten die
Derselbe Dateisatz befindet sich in einem Unterordner des Ordners Trains\Trainset. Die Datei, die ein EOT definiert, hat dasselbe
als .wag-Datei formatieren, muss aber die Erweiterung .eot haben. Um die Ebene des EOT zu definieren, verwenden Sie den folgenden Block
muss am Ende der .eot-Datei hinzugefügt werden (nach der schließenden Klammer des theWagon()-Blocks):
ORTSEOT (
Level ( "level" )
)
Die Ebene kann folgende Werte annehmen: NoComm, OneWay und TwoWay.
Normalerweise wurden EOTs als sehr kurze Wagen für die Simulation mit MSTS oder OR bereitgestellt. Um es auf ein funktionierendes EOT für den OP aufzurüsten, sind folgende einfache Schritte erforderlich:
- Erstellen Sie den Ordner „Trains\ORTS_EOT“.
- Kopieren Sie den EOT-Unterordner im Ordner „Trains\Trainset“ in den Ordner „Trains\ORTS_“
˓→EOT``-Ordner
- Ändern Sie die Erweiterung der .wag-Datei(en) in .eot
- Fügen Sie am Ende der .eot-Datei den ORTSEOT-Block hinzu.
Für Open Rails ist der EOT ein besonderer Wagentyp (eine Unterklasse) mit besonderen Merkmalen. Als solches erscheint es am Ende des Zuges im Zugbetriebsfenster.
8.16.3 Anbringen und Abnehmen eines EOT am Ende eines Zuges
Ein EOT kann bereits zu Spielbeginn am Ende eines Zuges (sei es ein Spielerzug oder ein KI-Zug) angebracht werden
Fügen Sie am Ende der .con-Datei einen Block wie den folgenden ein:
ORTSEot (
EOTData ( EOT_OR TrainSimulations_EOT )
UiD ( 203 )
)
Dabei sind ORTSEot und EOTData feste Schlüsselwörter, EOT_OR der Name der .eot-Datei und TrainSimulations-EOT der Ordner, in dem sich EOT_OR.eot befindet. TrainSimulations_EOT ist ein Unterordner von Trains\ORTS_EOT.
Wenn am Ende des Zuges seit Spielbeginn ein EOT vorhanden ist, ist dieser von Beginn an voll funktionsfähig (im Einweg-Zustand, wenn es sich um einen Einweg-EOT handelt, und im Zwei-Wege-Zustand, wenn es sich um einen Zwei-Wege-Zug handelt). Weg EOT).
Ein EOT kann auch am Ende des eigentlichen Spielerzuges über das EOT-Listenfenster angehängt werden

die durch Drücken von <Strg+F9> aufgerufen werden kann. Dieses Fenster listet alle .eot-Dateien auf, die in den Unterordnern von vorhanden sind
Züge\ORTS_EOT. Wenn der Zug am Ende einen EOT hat, wird die entsprechende Zeile im EOT-Listenfenster angezeigt
Rot. Wenn der Zug am Ende kein EOT hat (keine rote Reihe), kann er am Ende des Zuges mit befestigt werden
folgende Reihenfolge:
• Klicken Sie im EOT-Listenfenster auf die Zeile mit dem gewünschten EOT. Die Zeile wird rot und
Der EOT wird physisch am Ende des Zuges erscheinen
• Wenn es sich um einen OneWay- oder TwoWay-EOT-Typ handelt, verbinden Sie den Bremsschlauch mit dem Car OperationsWindow
(siehe hier)
• Öffnen Sie den hinteren Winkelhahn, indem Sie das Betriebsfenster des Wagens vor dem EOT benutzen.
Wenn ein EOT an den tatsächlichen Zug des Spielers angeschlossen ist, wird im Zugfahrfenster (F5) eine Linie angezeigt, die seine Anwesenheit anzeigt. Das EOT befindet sich im unscharfen Zustand (das heißt, es ist vollständig deaktiviert).
Um einen EOT vom Ende des eigentlichen Spielerzuges zu trennen, rufen Sie das EOT-Listenfenster auf und klicken Sie auf die rote Zeile. Das EOT wird verschwinden. Denken Sie immer daran, den EOT abzunehmen, wenn dies in der Realität passieren würde (z. B. beim Heckankuppeln anderer Waggons, beim Abkuppeln des Zughecks und generell vor dem Rangieren).
8.16.4 So aktivieren (aktivieren) oder deaktivieren Sie ein unidirektionales oder bidirektionales EOT
Der Aktivierungs- und Deaktivierungsvorgang muss von der Kabinenansicht aus durchgeführt werden, da die Steuerung nur über die Maus möglich ist. Daher ist ein ausgestatteter Führerstand erforderlich. Hier finden Sie eine Liste der verfügbaren Steuerelemente.
Das Vorgehen bei einem Zwei-Wege-EOT wird anhand des folgenden Bildes erläutert, das einen Beispielfall anhand eines Fahrerhauses von Borislav Miletic zeigt.

Die möglichen Zustände für einen bidirektionalen EOT sind folgende:
• Entwaffnet,
• CommTestOn,
• Bewaffnet,
• LocalTestOn,
• ArmNow,
• ArmedTwoWay
Der EOT-Status wird im Fenster „Zugfahrt“ unter Verwendung der oben genannten Terminologie angezeigt, während letzterer in der EOT-Setup-Anzeige im Beispielführerhaus nach einem realen Fall etwas anders ist (aber möglicherweise geändert wird).
Wenn das EOT mit dem EOT-Listenfenster an den Zug angeschlossen wird, befindet sich das EOT im deaktivierten Zustand. Eine EOT-ID erscheint als 5-stellige Zufallszahl. Im Fahrerhaus wird im Feld „Kommunikationstest“ „Fehlgeschlagen“ angezeigt.
Durch Klicken auf die Taste unter der Softschaltfläche „Comm Test“ wechselt der Status im Fenster „Train Driving“ in den Status „CommTestOn“. Wenn CommTestOn beendet wird, geht der Status im Fenster „Zugfahrt“ für die Einweg-EOTs in den Status „Bereit“ und für die Zwei-Wege-EOTs in den Status „LocalTestOn“ über. In der EOT-Setup-Anzeige wird im Feld „Comm Test“ „Passed“ und im EOT-Statusfeld „One Way“ angezeigt. Jetzt zeigt das hintere Feld den Bremsleitungsdruck am Ende des Zuges an.
Der LocalTestOn in bidirektionalen EOTs ist etwa 25 Sekunden lang. Nach diesem Zeitintervall geht der im Fenster „Zugfahrt“ angezeigte Status in den Status „Jetzt schalten“ über und der EOT-Status im Display zeigt „Jetzt schalten“.
Zu diesem Zeitpunkt muss der Lokführer auf die Taste unter der Softtaste „Zwei-Wege-Aktivierung“ klicken. Der EOT geht in den ArmedTwoWay-Zustand über, der im EOT-Status in der EOT-Statusanzeige als Armed angezeigt wird.
Durch Klicken auf die Taste unter der Schaltfläche „Request Disarm“ kehrt das EOT in den Disarmed-Zustand zurück.
8.16.5 Notbremse durch EOT
Zweiwege-EOTs können im ArmedTwoWay-Zustand aufgefordert werden, die Bremsleitung zu entlüften und somit eine Notbremsung auszulösen. Dies geschieht automatisch, wenn eine Notbremse ausgelöst wird, und auch manuell, wenn die Steuerung ORTS_EOT_EMERGENCY_BRAKE aktiviert wird. Die manuelle Aktivierung kann auch durch Drücken von <Strg+Rücktaste> erfolgen.